Question
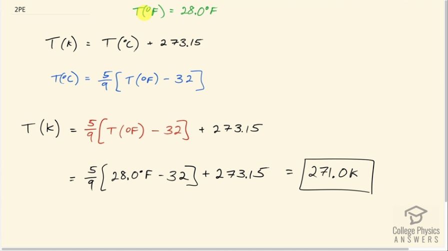
Frost damage to most plants occurs at temperatures of or lower. What is this temperature on the Kelvin scale?
Final Answer
Solution video
OpenStax College Physics, Chapter 13, Problem 2 (Problems & Exercises)

vote with a rating of
votes with an average rating of
.
Calculator Screenshots
Video Transcript
This is College Physics Answers with Shaun Dychko. Frost damage to plants occurs at a temperature of about 28.0 degrees Fahrenheit and our job is to convert this temperature into kelvin. Now, I have memorized the conversion from Celsius into kelvin. You add 273.15 to set the Celsius temperature to get kelvin. And we also have a conversion between Fahrenheit to Celsius, and that's five ninth times 32 less than the Fahrenheit temperature gives you the temperature in degrees Celsius. And so this can be substituted here. And that's what I show in red here. And this is our conversion now between Fahrenheit and kelvin. So this part in red replaced the temperature in degrees Celsius in this formula here. So we have five ninth times 28 degrees Fahrenheit, minus 32 plus 273.15 gives a temperature of 271.0 kelvin. Now, there might be a bit of surprise in that I have four significant figures here, but only three in our temperature. And that's okay because this number that we're subtracting away here it's not a measured quantity. It's a constant, it's part of this formula. And it has infinite precision, you could say, since it's not measured. And so this difference here is still going to be precise to the tenth place. And they were multiplying that by another conversion factor that doesn't change the precision at all. And then adding that to this number, which has precision to the hundredth place. And so this quantity here has precision to the tenth place. And so our answer is going to have precision to the tenth place.