Question
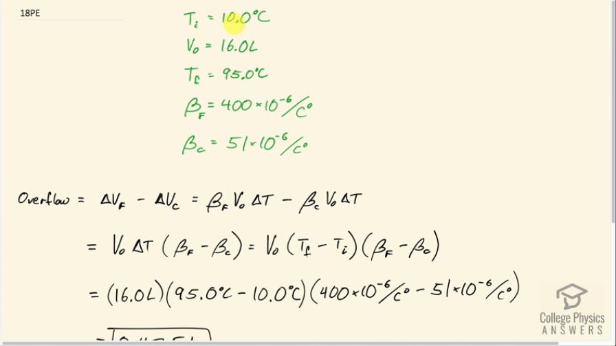
Most automobiles have a coolant reservoir to catch radiator fluid that may overflow when the engine is hot. A radiator is made of copper and is filled to its 16.0-L capacity when at 10.0C10.0^\circ\textrm{C}. What volume of radiator fluid will overflow when the radiator and fluid reach their 95.0C95.0^\circ\textrm{C} operating temperature, given that the fluid’s volume coefficient of expansion is 400×106/C400\times 10^{-6}\textrm{/}\textrm{C}^\circ? Note that this coefficient is approximate, because most car radiators have operating temperatures of greater than 95.0C95.0^\circ\textrm{C}.
Question by OpenStax is licensed under CC BY 4.0
Final Answer
0.475 L0.475\textrm{ L}

Solution video

OpenStax College Physics, Chapter 13, Problem 18 (Problems & Exercises)

OpenStax College Physics, Chapter 13, Problem 18 (PE) video thumbnail

In order to watch this solution you need to have a subscription.

Start free trial Log in
vote with a rating of votes with an average rating of .

Calculator Screenshots

  • OpenStax College Physics, Chapter 13, Problem 18 (PE) calculator screenshot 1
Video Transcript
This is College Physics Answers with Shaun Dychko. Some radiator fluid is put into a copper container which is initially at 10 degrees Celsius; the fluid and the container, both at the same initial temperature. And the initial volume is 16 liters and the final temperature is 95 degrees Celsius once the engine is running. And the coefficient of volume expansion for the fluid is 400 times 10 to the minus six per Celsius degree. And that of copper we have to look up in table 13.2 and it's 51 times 10 to the minus six. And we need to have the copper's coefficient of volume expansion because the question here is: how much fluid will overflow the container? So the container is completely filled up with fluid, and as the temperature rises, the fluid will expand. But the container will also expand. And so, if they expand the same amount, there will be no overflow. But we are going to see in our calculation that the fluid expands more than the container does and that makes sense since the coefficient of volume expansion for fluid is higher than that of copper. So the overflow will be the difference in the change in volume of the fluid versus the copper. And here I'm substituting the formula for the amount of volume change. So this is the coefficient of volume expansion multiplied by the initial volume times the change in temperature, and this is the term for the fluid, and then minus the same term for the copper. The only difference being in this term that there is copper's coefficient of volume expansion used. The initial volume and the change of temperature is the same for both fluid and copper. So they don’t need subscripts on them. So we can factor out the V 0 delta T and then substitute in T final minus T initial in place of delta T here and I have a habit of always substituting in red, so let's do that. And so we plug in numbers now. So we have 16 liters initial volume times 95 degrees Celsius minus 10 degrees Celsius times the difference in the coefficient of volume expansion and we get 0.475 liters of fluid will overflow out of the container.

Comments

There's a typo in the transcription of this problem. The fluid's volume coefficient is 400, not 600. Cheers.