Question
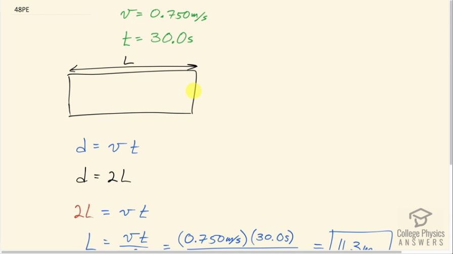
Waves on a swimming pool propagate at 0.750 m/s. You splash the water at one end of the pool and observe the wave go to the opposite end, reflect, and return in 30.0 s. How far away is the other end of the pool?
Final Answer
Solution video
OpenStax College Physics, Chapter 16, Problem 48 (Problems & Exercises)

vote with a rating of
votes with an average rating of
.
Calculator Screenshots
Video Transcript
This is College Physics Answers with Shaun Dychko. A wave begins at one end of a pool and travels at a speed of 0.750 meters per second to the other end of the pool, bounces back and then returns to the starting point in 30.0 seconds. So it takes 30.0 seconds to go across the length of the pool twice. Now in general distance of something traveling equals its speed multiplied by the time it spends traveling and the distance in this case is 2 times the length of the pool because it crosses the pool twice. So we substitute 2L in place of d and that equals the speed multiplied by time and we divide both sides by 2 to solve for the length of the pool L; it's the speed times time divided by 2. It's 0.750 meters per second times 30.0 seconds divided by 2 which is 11.3 meters.