Question
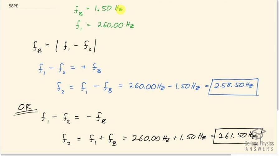
The middle-C hammer of a piano hits two strings, producing beats of 1.50 Hz. One of the strings is tuned to 260.00 Hz. What frequencies could the other string have?
Final Answer
or
Solution video
OpenStax College Physics, Chapter 16, Problem 58 (Problems & Exercises)

vote with a rating of
votes with an average rating of
.
Video Transcript
This is College Physics Answers with Shaun Dychko. The hammer in a piano hits two strings producing a beat frequency together of 1.50 hertz. One of the strings we are told has a frequency of 260 hertz and we'll call that f 1. We know the beat frequency is the magnitude of this difference between the two frequencies between the two strings which is to say that f 1 minus f 2 equals either the positive of the beat frequency or f 1 minus f 2 could also be the negative of the beat frequency. So we can solve for f 2 in each case and that gives us the two possibilities for its frequency. So if we have f 1 minus f 2 equals the positive of the beat frequency, we can add f 2 to both sides and then subtract the beat frequency from both sides and then the right hand side, we get f 2 and on the left hand side, we get f 1 minus f b and then we switch the sides around. So we have f 2 equals f 1 minus f b so that's 260.00 hertz minus 1.50 hertz which is 258.50 hertz. Or f 1 minus f 2 is the negative of the beat frequency and so we add f 2 to both sides and then add the f b to both sides to solve for f 2. So f 2 is f 1 plus the f b; 260.00 hertz plus 1.50 hertz which is 261.50 hertz.