Question
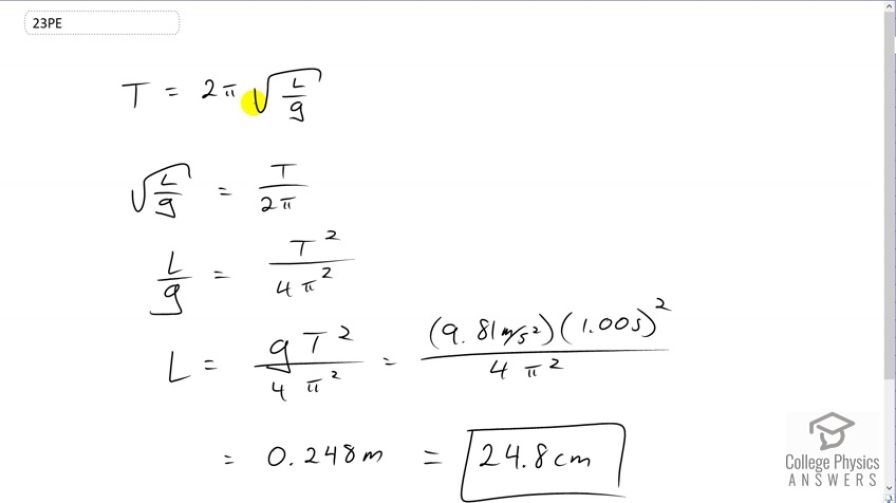
Some people think a pendulum with a period of 1.00 s can be driven with “mental energy” or psycho kinetically, because its period is the same as an average heartbeat. True or not, what is the length of such a pendulum?
Final Answer
Solution video
OpenStax College Physics, Chapter 16, Problem 23 (Problems & Exercises)

vote with a rating of
votes with an average rating of
.
Calculator Screenshots
Video Transcript
This is College Physics Answers with Shaun Dychko. The question here is what will the length of the pendulum be if it has a period of oscillation of one second. So period is two pi times square root of the length of the pendulum divided by gravitational field strength. We'll solve for L. First we'll divide both sides by two pi and then we get square root L over g is period over two pi. Then square both sides and you get L over g on the left equals period squared divided by four pi squared. Then multiply both sides by g and you get L equals acceleration due to gravity times the period squared, divided by four pi squared. So that's 9.81 meters per second squared times one second squared divided by four pi squared, giving us 0.248 meters which is 24.8 centimeters. So a pendulum with this length on earth, and I say on earth because that determines what this value will be, it'll have a length of 24.8 centimeters with a period of one second.