Question
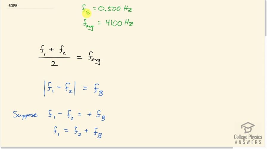
Twin jet engines on an airplane are producing an average sound frequency of 4100 Hz with a beat frequency of 0.500 Hz. What are their individual frequencies?
Final Answer
One of the engines has a frequency of whereas the other engine has a frequency of .
Solution video
OpenStax College Physics, Chapter 16, Problem 60 (Problems & Exercises)

vote with a rating of
votes with an average rating of
.
Calculator Screenshots
Video Transcript
This is College Physics Answers with Shaun Dychko. We know that two jet engines have an average frequency of 4100 hertz. and the beat frequency between their two frequencies is 0.500 hertz. So to say that their average is 4100 is to say that frequency of the first jet engine plus the frequency of the second jet engine divided by 2 is the average and the beat frequency formula is the magnitude of f 1 minus f 2 is the beat frequency. Now because this is an absolute value equation, we can solve it by saying that either the stuff inside the absolute value signs equals the positive of the right hand side, which is what we are doing here, or we say that the stuff inside the absolute value signs is equal to the negative of the other side and we'll get slightly different answers in each case. Okay! So suppose then that f 1 minus f 2 is positive of the beat frequency in that case, f 1 will be f 2 plus the beat frequency when you solve for it by adding f 2 to both sides here and that's useful because then we can substitute for f 1 in our average formula and have an equation with only one unknown which is f 2. So we have f 2 plus f B substituted in place of f 1 and that's plus f 2 all over 2 equals the average frequency and then multiply both sides by 2 and then collect the f 2 terms together to make 2 times f 2 plus f b equals 2 times the average frequency. Then subtract the f B from both sides and afterwards divide both sides by 2 and you get the f 2 then is 2 times the f avg minus the f B all divided by 2. So that's 2 times 4100 hertz minus 0.500 hertz all divided by 2 which is 4099.75 hertz and I'm keeping two decimal points in this answer here because we are gonna assume that this number has significant figures to the hundredths place because otherwise we wouldn't be able to show any difference between the f 2 and the f avg because if we just took this to have precision to the ones place then we would have to round this to 4100 and that would kind of defeat the intent of this question which is to show what are the two different frequencies. Okay! f 1 is f 2 plus f B as we said up here and so that's 4099.75 plus 0.500 hertz which is 4100.25 hertz. So these are the two frequencies of the two jet engines. But let's consider the case where f 1 minus f 2 is the negative of the beat frequency. In that case, f 1 is f 2 minus the f B after you add f 2 to both sides. And so we make this substitution in our average formula just as we did before but now there's a minus instead of a plus and so we have f 2 minus f B plus f 2 all over 2 equals the f avg and then same algebra here... multiply both sides by 2, collect the f 2 terms together and then we have 2f 2 minus f b equals 2 times f avg... add the f B to both sides then divide both sides by 2 and you get f 2 then is 2 times the f avg plus the f B all over 2. So it's 2 times 4100 hertz plus 0.500 all over 2 4100.25 hertz and then f 1 is f 2 minus the f B and you get 4099.75 hertz and these numbers should look familiar because they are just switched around from before. So whereas before we had f 1 is the higher frequency and f 2 is the lower frequency now we have f 1 is the lower frequency and f 2 is the higher frequency but you know, we just switched around the numbers. So either f 1 is 4100.25 hertz and f 2 is 4099.75 or f 1 is 4099.75 and f 2 is 4100.25.