Chapter 16

Chapter thumbnail
There are at least four types of waves in this picture—only the water waves are evident. There are also sound waves, light waves, and waves on the guitar strings.

Chapter 16 : Oscillatory Motion and Waves - all with Video Solutions

Problems & Exercises

Section 16.1: Hooke's Law: Stress and Strain Revisited

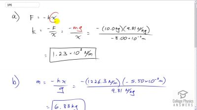
Problem 1

Fish are hung on a spring scale to determine their mass. (a) What is the force constant of the spring in such a scale if it the spring stretches 8.00 cm for a 10.0 kg load? (b) What is the mass of a fish that stretches the spring 5.50 cm? (c) How far apart are the half-kilogram marks on the scale?

View solution

Problem 2

It is weigh-in time for the local under-85-kg rugby team. The bathroom scale used to assess eligibility can be described by Hooke’s law and is depressed 0.75 cm by its maximum load of 120 kg. (a) What is the spring’s effective spring constant? (b) A player stands on the scales and depresses it by 0.48 cm. Is he eligible to play on this under-85 kg team?

View solution

Problem 3

One type of BB gun uses a spring-driven plunger to blow the BB from its barrel. (a) Calculate the force constant of its plunger’s spring if you must compress it 0.150 m to drive the 0.0500-kg plunger to a top speed of 20.0 m/s. (b) What force must be exerted to compress the spring?

View solution

Problem 4

(a) The springs of a pickup truck act like a single spring with a force constant of 1.30×105 N/m1.30\times 10^{5}\textrm{ N/m} . By how much will the truck be depressed by its maximum load of 1000 kg? (b) If the pickup truck has four identical springs, what is the force constant of each?

View solution

Problem 5

When an 80.0-kg man stands on a pogo stick, the spring is compressed 0.120 m. (a) What is the force constant of the spring? (b) Will the spring be compressed more when he hops down the road?

View solution

Problem 6

A spring has a length of 0.200 m when a 0.300-kg mass hangs from it, and a length of 0.750 m when a 1.95-kg mass hangs from it. (a) What is the force constant of the spring? (b) What is the unloaded length of the spring?

View solution

Section 16.2: Period and Frequency in Oscillations

Problem 9

Find the frequency of a tuning fork that takes 2.50×103 s2.50 \times 10^{-3} \textrm{ s} to complete one oscillation.

View solution

Problem 10

A stroboscope is set to flash every 8.00×105 s8.00\times 10^{-5}\textrm{ s}. What is the frequency of the flashes?

View solution

Problem 11

A tire has a tread pattern with a crevice every 2.00 cm. Each crevice makes a single vibration as the tire moves. What is the frequency of these vibrations if the car moves at 30.0 m/s?

View solution

Problem 12

Each piston of an engine makes a sharp sound every other revolution of the engine. (a) How fast is a race car going if its eight-cylinder engine emits a sound of frequency 750 Hz, given that the engine makes 2000 revolutions per kilometer? (b) At how many revolutions per minute is the engine rotating?

View solution

Section 16.3: Simple Harmonic Motion: A Special Periodic Motion

Problem 13

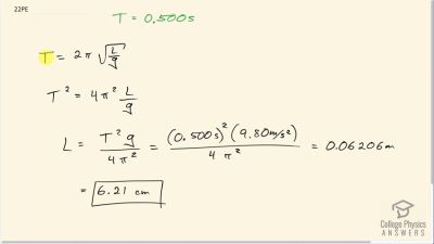
A type of cuckoo clock keeps time by having a mass bouncing on a spring, usually something cute like a cherub in a chair. What force constant is needed to produce a period of 0.500 s for a 0.0150-kg mass?

View solution

Problem 14

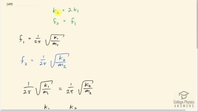
If the spring constant of a simple harmonic oscillator is doubled, by what factor will the mass of the system need to change in order for the frequency of the motion to remain the same?

View solution

Problem 15

A 0.500-kg mass suspended from a spring oscillates with a period of 1.50 s. How much mass must be added to the object to change the period to 2.00 s?

View solution

Problem 16

By how much leeway (both percentage and mass) would you have in the selection of the mass of the object in the previous problem if you did not wish the new period to be greater than 2.01 s or less than 1.99 s?

View solution

Problem 17

Suppose you attach the object with mass mm to a vertical spring originally at rest, and let it bounce up and down. You release the object from rest at the spring’s original rest length. (a) Show that the spring exerts an upward force of 2.00mg2.00 mg on the object at its lowest point. (b) If the spring has a force constant of 10.0 N/m10.0 \textrm{ N/m} and a 0.25-kg-mass object is set in motion as described, find the amplitude of the oscillations. (c) Find the maximum velocity.

View solution

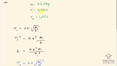
Problem 18

A diver on a diving board is undergoing simple harmonic motion. Her mass is 55.0 kg and the period of her motion is 0.800 s. The next diver is a male whose period of simple harmonic oscillation is 1.05 s. What is his mass if the mass of the board is negligible?

View solution

Problem 19

Suppose a diving board with no one on it bounces up and down in a simple harmonic motion with a frequency of 4.00 Hz. The board has an effective mass of 10.0 kg. What is the frequency of the simple harmonic motion of a 75.0-kg diver on the board?

View solution

Problem 20

The device pictured in Figure 16.46 entertains infants while keeping them from wandering. The child bounces in a harness suspended from a door frame by a spring constant. (a) If the spring stretches 0.250 m while supporting an 8.0-kg child, what is its spring constant? (b) What is the time for one complete bounce of this child? (c) What is the child’s maximum velocity if the amplitude of her bounce is 0.200 m?

View solution

Problem 21

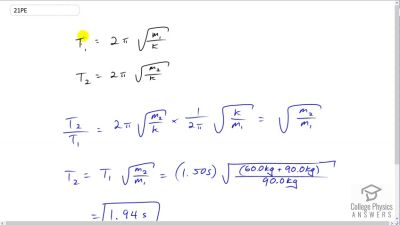
A 90.0-kg skydiver hanging from a parachute bounces up and down with a period of 1.50 s. What is the new period of oscillation when a second skydiver, whose mass is 60.0 kg, hangs from the legs of the first, as seen in Figure 16.47.

View solution

Section 16.4: The Simple Pendulum

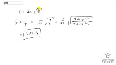
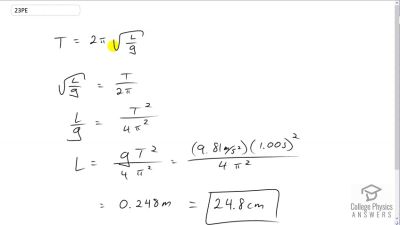
Problem 23

Some people think a pendulum with a period of 1.00 s can be driven with “mental energy” or psycho kinetically, because its period is the same as an average heartbeat. True or not, what is the length of such a pendulum?

View solution

Problem 28

(a) A pendulum that has a period of 3.00000 s and that is located where the acceleration due to gravity is 9.79 m/s29.79\textrm{ m/s}^2 is moved to a location where it the acceleration due to gravity is 9.82 m/s29.82\textrm{ m/s}^2. What is its new period? (b) Explain why so many digits are needed in the value for the period, based on the relation between the period and the acceleration due to gravity.

View solution

Problem 29

A pendulum with a period of 2.00000 s in one location (g=9.80 m/s2g = 9.80 \textrm{ m/s}^2) is moved to a new locatio where the period is now 1.99796 s. What is the acceleration due to gravity at its new location?

View solution

Problem 30

(a) What is the effect on the period of a pendulum if you double its length? (b) What is the effect on the period of a pendulum if you decrease its length by 5.00%?

View solution

Problem 31

Find the ratio of the new/old periods of a pendulum if the pendulum were transported from Earth to the Moon, where the acceleration due to gravity is 1.63 m/s21.63 \textrm{ m/s}^2

View solution

Problem 32

At what rate will a pendulum clock run on the Moon, where the acceleration due to gravity is 1.63 m/s21.63\textrm{ m/s}^2, if it keeps time accurately on Earth? That is, find the time (in hours) it takes the clock’s hour hand to make one revolution on the Moon.

View solution

Problem 33

Suppose the length of a clock’s pendulum is changed by 1.000%, exactly at noon one day. What time will it read 24.00 hours later, assuming it the pendulum has kept perfect time before the change? Note that there are two answers, and perform the calculation to four-digit precision.

View solution

Problem 34

If a pendulum-driven clock gains 5.00 s/day, what fractional change in pendulum length must be made for it to keep perfect time?

View solution

Section 16.5: Energy and the Simple Harmonic Oscillator

Problem 35

The length of nylon rope from which a mountain climber is suspended has a force constant of 1.40×104 N/m1.40 \times 10^4 \textrm{ N/m}. (a) What is the frequency at which he bounces, given his mass plus the mass of his equipment are 90.0 kg? (b) How much would this rope stretch to break the climber’s fall if he free-falls 2.00 m before the rope runs out of slack? Hint: Use conservation of energy. (c) Repeat both parts of this problem in the situation where twice this length of nylon rope is used.

View solution

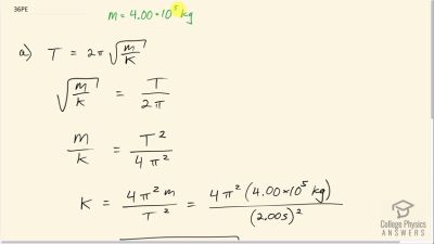
Problem 36

Near the top of the Citigroup Center building in New York City, there is an object with mass of 4×105 kg4\times 10^{5}\textrm{ kg} on springs that have adjustable force constants. Its function is to dampen wind-driven oscillations of the building by oscillating at the same frequency as the building is being driven—the driving force is transferred to the object, which oscillates instead of the entire building. (a) What effective force constant should the springs have to make the object oscillate with a period of 2.00 s? (b) What energy is stored in the springs for a 2.00-m displacement from equilibrium?

View solution

Section 16.6: Uniform Circular Motion and Simple Harmonic Motion

Problem 37

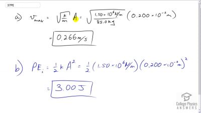
(a)What is the maximum velocity of an 85.0-kg person bouncing on a bathroom scale having a force constant of 1.50×106 N/m1.50 \times 10^6 \textrm{ N/m} , if the amplitude of the bounce is 0.200 cm? (b) What is the maximum energy stored in the spring?

View solution

Problem 38

A novelty clock has a 0.0100-kg mass object bouncing on a spring that has a force constant of 1.25 N/m. What is the maximum velocity of the object if the object bounces 3.00 cm above and below its equilibrium position? (b) How many joules of kinetic energy does the object have at its maximum velocity?

View solution

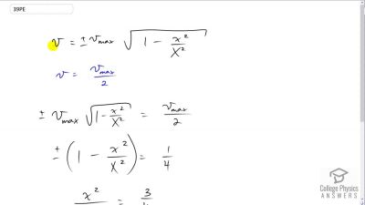
Problem 39

At what positions is the speed of a simple harmonic oscillator half its maximum? That is, what values of xX\dfrac{x}{X} give v=±vmax2v = \dfrac{\pm v_{max}}{2} , where XX is the amplitude of the motion?

View solution

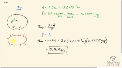
Problem 40

A ladybug sits 12.0 cm from the center of a Beatles music album spinning at 33.33 rpm. What is the maximum velocity of its shadow on the wall behind the turntable, if illuminated parallel to the record by the parallel rays of the setting Sun?

View solution

Section 16.7: Damped Harmonic Motion

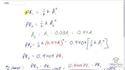
Problem 41

The amplitude of a lightly damped oscillator decreases by 3.0% during each cycle. What percentage of the mechanical energy of the oscillator is lost in each cycle?

View solution

Section 16.8: Forced Oscillations and Resonance

Problem 42

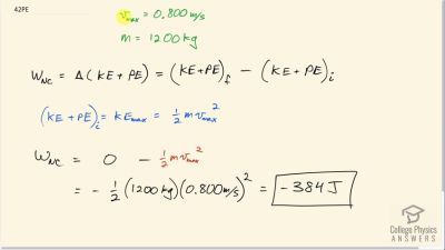
How much energy must the shock absorbers of a 1200-kg car dissipate in order to damp a bounce that initially has a velocity of 0.800 m/s at the equilibrium position? Assume the car returns to its original vertical position.

View solution

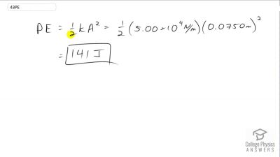
Problem 43

If a car has a suspension system with a force constant of 5.00×104 N/m5.00 \times 10^4 \textrm{ N/m}, how much energy must the car’s shocks remove to dampen an oscillation starting with a maximum displacement of 0.0750 m?

View solution

Problem 44

(a) How much will a spring that has a force constant of 40.0 N/m be stretched by an object with a mass of 0.500 kg when hung motionless from the spring? (b) Calculate the decrease in gravitational potential energy of the 0.500-kg object when it descends this distance. (c) Part of this gravitational energy goes into the spring. Calculate the energy stored in the spring by this stretch, and compare it with the gravitational potential energy. Explain where the rest of the energy might go.

View solution

Problem 45

Suppose you have a 0.750-kg object on a horizontal surface connected to a spring that has a force constant of 150 N/m. There is simple friction between the object and surface with a static coefficient of friction μs=0.100\mu_s = 0.100. (a) How far can the spring be stretched without moving the mass? (b) If the object is set into oscillation with an amplitude twice the distance found in part (a), and the kinetic coefficient of friction is μk=0.0850\mu_k = 0.0850, what total distance does it travel before stopping? Assume it starts at the maximum amplitude.

View solution

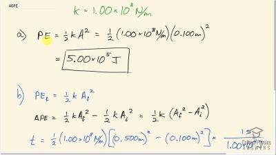
Problem 46

Engineering Application: A suspension bridge oscillates with an effective force constant of 1.00×108 N/m1.00\times 10^{8}\textrm{ N/m}. (a) How much energy is needed to make it oscillate with an amplitude of 0.100 m? (b) If soldiers march across the bridge with a cadence equal to the bridge’s natural frequency and impart 1.00×104 J1.00\times 10^{4}\textrm{ J} of energy each second, how long does it take for the bridge’s oscillations to go from 0.100 m to 0.500 m amplitude?

View solution

Section 16.9: Waves

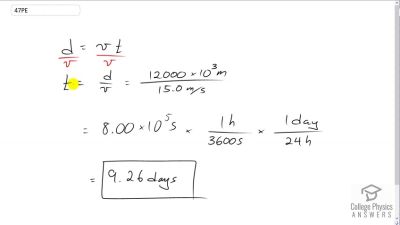
Problem 47

Storms in the South Pacific can create waves that travel all the way to the California coast, which are 12,000 km away. How long does it take them if they travel at 15.0 m/s?

View solution

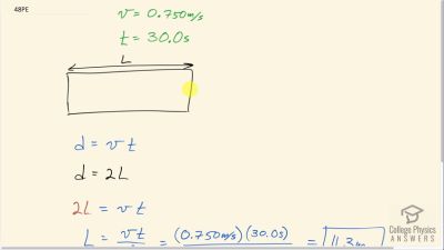
Problem 48

Waves on a swimming pool propagate at 0.750 m/s. You splash the water at one end of the pool and observe the wave go to the opposite end, reflect, and return in 30.0 s. How far away is the other end of the pool?

View solution

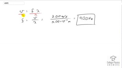
Problem 50

How many times a minute does a boat bob up and down on ocean waves that have a wavelength of 40.0 m and a propagation speed of 5.00 m/s?

View solution

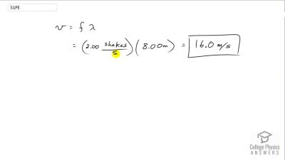
Problem 51

Scouts at a camp shake the rope bridge they have just crossed and observe the wave crests to be 8.00 m apart. If they shake it the bridge twice per second, what is the propagation speed of the waves?

View solution

Problem 52

What is the wavelength of the waves you create in a swimming pool if you splash your hand at a rate of 2.00 Hz and the waves propagate at 0.800 m/s?

View solution

Problem 53

What is the wavelength of an earthquake that shakes you with a frequency of 10.0 Hz and gets to another city 84.0 km away in 12.0 s?

View solution

Problem 54

Radio waves transmitted through space at 3.00×108 m/s3.00\times 10^{8}\textrm{ m/s} by the Voyager spacecraft have a wavelength of 0.120 m. What is their frequency?

View solution

Problem 55

Your ear is capable of differentiating sounds that arrive at the ear just 1.00 ms apart. What is the minimum distance between two speakers that produce sounds that arrive at noticeably different times on a day when the speed of sound is 340 m/s?

View solution

Problem 56

(a) Seismographs measure the arrival times of earthquakes with a precision of 0.100 s. To get the distance to the epicenter of the quake, they compare the arrival times of S- and P-waves, which travel at different speeds. Figure 16.48) If S- and P-waves travel at 4.00 and 7.20 km/s, respectively, in the region considered, how precisely can the distance to the source of the earthquake be determined? (b) Seismic waves from underground detonations of nuclear bombs can be used to locate the test site and detect violations of test bans. Discuss whether your answer to (a) implies a serious limit to such detection. (Note also that the uncertainty is greater if there is an uncertainty in the propagation speeds of the S- and P-waves.)

View solution

Section 16.10: Superposition and Interference

Problem 57

A car has two horns, one emitting a frequency of 199 Hz and the other emitting a frequency of 203 Hz. What beat frequency do they produce?

View solution

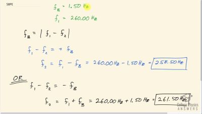
Problem 58

The middle-C hammer of a piano hits two strings, producing beats of 1.50 Hz. One of the strings is tuned to 260.00 Hz. What frequencies could the other string have?

View solution

Problem 59

Two tuning forks having frequencies of 460 and 464 Hz are struck simultaneously. What average frequency will you hear, and what will the beat frequency be?

View solution

Problem 60

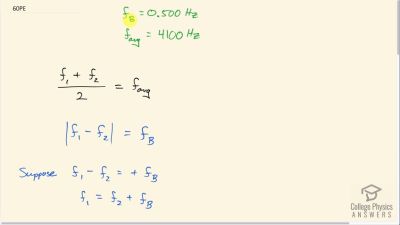
Twin jet engines on an airplane are producing an average sound frequency of 4100 Hz with a beat frequency of 0.500 Hz. What are their individual frequencies?

View solution

Problem 61

A wave traveling on a Slinky® that is stretched to 4 m takes 2.4 s to travel the length of the Slinky and back again. (a) What is the speed of the wave? (b) Using the same Slinky stretched to the same length, a standing wave is created which consists of three antinodes and four nodes. At what frequency must the Slinky be oscillating?

View solution

Problem 62

Three adjacent keys on a piano (F, F-sharp, and G) are struck simultaneously, producing frequencies of 349, 370, and 392 Hz. What beat frequencies are produced by this discordant combination?

View solution

Section 16.11: Energy in Waves: Intensity

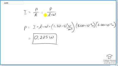
Problem 63

Ultrasound of intensity 1.50×102 W/m21.50 \times 10^2 \textrm{ W/m}^2 is produced by the rectangular head of a medical imaging device measuring 3.00 by 5.00 cm. What is its power output?

View solution

Problem 64

The low-frequency speaker of a stereo set has a surface area of 0.05 m20.05\textrm{ m}^2 and produces 1W of acoustical power. What is the intensity at the speaker? If the speaker projects sound uniformly in all directions, at what distance from the speaker is the intensity 0.1 W/m20.1\textrm{ W/m}^2?

View solution

Problem 66

A device called an insolation meter is used to measure the intensity of sunlight has an area of 100 cm2100\textrm{ cm}^2 and registers 6.50 W. What is the intensity in W/m2\textrm{W/m}^2?

View solution

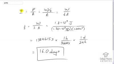
Problem 67

Energy from the Sun arrives at the top of the Earth’s atmosphere with an intensity of 1.30 kW/m21.30 \textrm{ kW/m}^2 How long does it take for 1.8×109 J1.8 \times 109 \textrm{ J} to arrive on an area of 1.00 m21.00 \textrm{ m}^2?

View solution

Problem 68

Suppose you have a device that extracts energy from ocean breakers in direct proportion to their intensity. If the device produces 10.0 kW of power on a day when the breakers are 1.20 m high, how much will it produce when they are 0.600 m high?

View solution

Problem 69

(a) A photovoltaic array of (solar cells) is 10.0% efficient in gathering solar energy and converting it to electricity. If the average intensity of sunlight on one day is700 W/m2700 \textrm{ W/m}^2 what area should your array have to gather energy at the rate of 100 W? (b) What is the maximum cost of the array if it must pay for itself in two years of operation averaging 10.0 hours per day? Assume that it earns money at the rate of 9.00 ¢ per kilowatt-hour.

View solution

Problem 70

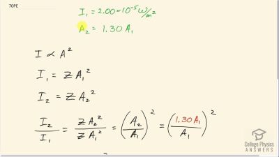
A microphone receiving a pure sound tone feeds an oscilloscope, producing a wave on its screen. If the sound intensity is originally 2.00×105 W/m22.00\times 10^{-5}\textrm{ W/m}^2, but is turned up until the amplitude increases by 30.0%, what is the new intensity?

View solution

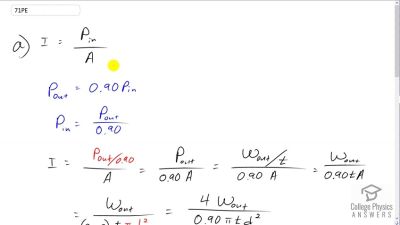
Problem 71

(a) What is the intensity in  W/m2\textrm{ W/m}^2 of a laser beam used to burn away cancerous tissue that, when 90.0% absorbed, puts 500 J of energy into a circular spot 2.00 mm in diameter in 4.00 s? (b) Discuss how this intensity compares to the average intensity of sunlight (about 700 W/m2700 \textrm{ W/m}^2) and the implications that would have if the laser beam entered your eye. Note how your answer depends on the time duration of the exposure.

View solution