Question
A ladybug sits 12.0 cm from the center of a Beatles music album spinning at 33.33 rpm. What is the maximum velocity of its shadow on the wall behind the turntable, if illuminated parallel to the record by the parallel rays of the setting Sun?
Final Answer
Solution video
OpenStax College Physics, Chapter 16, Problem 40 (Problems & Exercises)

vote with a rating of
votes with an average rating of
.
Calculator Screenshots
Video Transcript
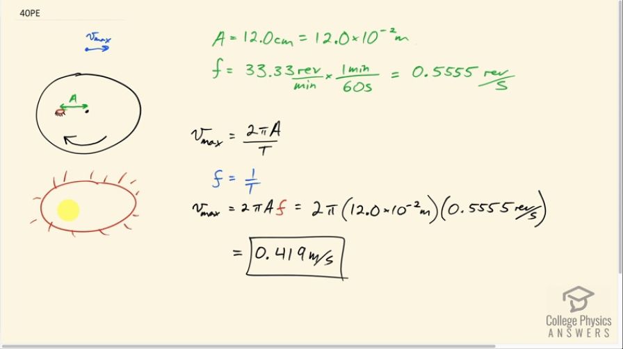
This is College Physics Answers with Shaun Dychko. A ladybug is on a record that's going around and it's sitting some distance from the center; there's a setting sun that's projecting a shadow onto this wall that's positioned here and the shadow of this ladybug is going to be moving back and forth on the wall as the ladybug goes around on the record. So when the ladybug is here, the shadow will be a dot there and then once the record rotates such that the ladybug is here then the shadow will be here and that will be the position where the shadow has the maximum speed and then when the ladybug gets to here, the shadow will be positioned here. So we can see that this distance from the center is the amplitude of the oscillation of this shadow this being the middle point or the equilibrium point and this being the maximum deviation from the equilibrium. So that amplitude is 12.0 centimeters and that's 12.0 times 10 to the minus 2 meters. We have a handy formula for finding the maximum speed of a simple harmonic oscillator: it's going to be 2π times its amplitude of its oscillation divided by the period of oscillation and we know the frequency for this ladybug's motion and that is 33.33 rpm or revolutions per minute which we convert into hertz by multiplying by 1 minute for every 60 seconds. So that's 0.5555 revolutions per second or cycles per second. And so we substitute frequency in place of 1 over period and we write f here instead of the 1 over t as we had before and so the v max then will be 2π times the amplitude times the frequency and that is 0.419 meters per second. Another way you could have solved this is to find the angular speed of the ladybug and the angular speed is 2π times the frequency in hertz and then you would say the v max will occur at this position and what is the tangental velocity of the ladybug there and the answer to that is the radius of its path or distance from the center in other words multiplied by its angular speed but you would end up with the same thing because we have 2πf for the angular speed and so that's 2πf here and then we are multiplying by distance from the center which I have called amplitude and so you get the same answer.