Question
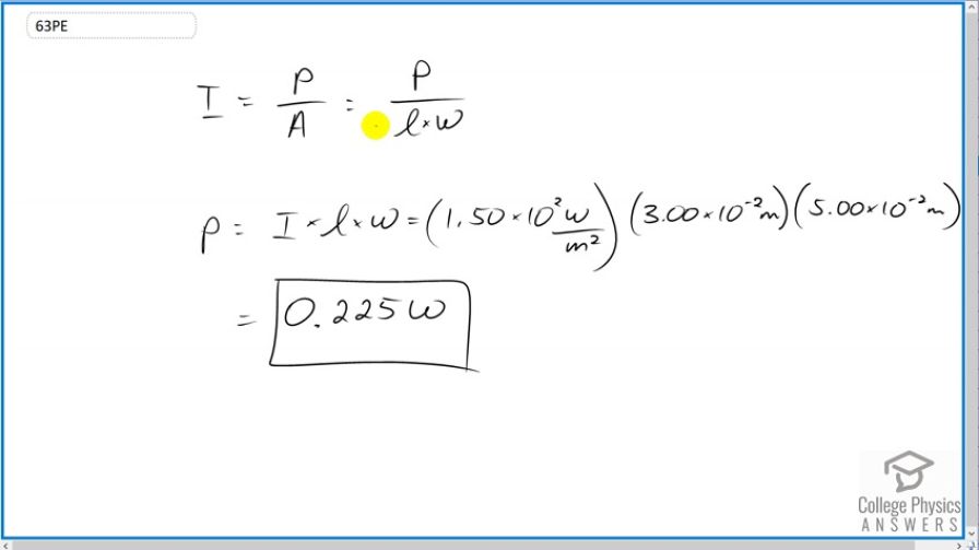
Ultrasound of intensity is produced by the rectangular head of a medical imaging device measuring 3.00 by 5.00 cm. What is its power output?
Final Answer
Solution video
OpenStax College Physics, Chapter 16, Problem 63 (Problems & Exercises)

vote with a rating of
votes with an average rating of
.
Calculator Screenshots
Video Transcript
This is College Physics Answers with Shaun Dychko. Intensity is power divided by area. In this case the medical device is a rectangle of three centimeters by five centimeters. So we find its area by going length times width. Now we'll solve for power by multiplying both sides by l times w. We get power is intensity times length times width. So that's 1.5 times ten to the two Watts per meter squared, times three centimeters written as three times ten to the minus two meters, times five times ten to the minus two meters, giving a power output of 0.225 Watts.