Question
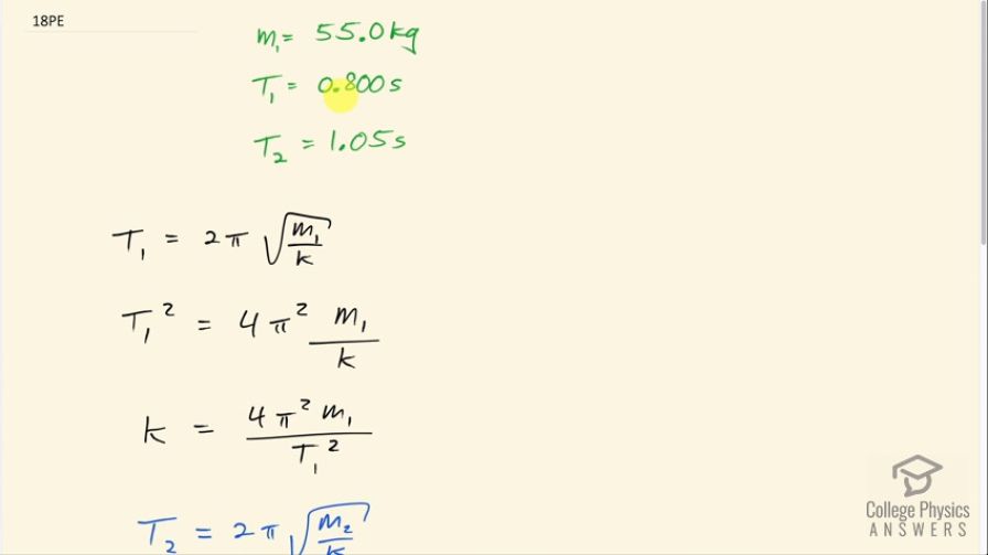
A diver on a diving board is undergoing simple harmonic motion. Her mass is 55.0 kg and the period of her motion is 0.800 s. The next diver is a male whose period of simple harmonic oscillation is 1.05 s. What is his mass if the mass of the board is negligible?
Final Answer
Solution video
OpenStax College Physics, Chapter 16, Problem 18 (Problems & Exercises)

vote with a rating of
votes with an average rating of
.
Calculator Screenshots
Video Transcript
This is College Physics Answers with Shaun Dychko. We are told that a woman diver of mass 55.0 kilograms has a period on the diving board of 0.800 seconds and this second diver has a period of 1.05 seconds and the question is what is this other diver's mass, m 2? So we can use the first diver to figure out what is the spring constant of the diving board so T 1 equals 2π times square root m 1 over k; we are gonna solve for k. And we'll start by squaring both sides here and we have T 1 squared equals 4π squared m 1 over k and then multiply both sides by k over T 1 squared and you get k equals 4π squared m 1 over T 1 squared. And then we turn our attention to diver two and his period is gonna be 2π times square root m 2 divided by k and we have to solve this for m 2 and then we'll substitute in this for k later on. So we'll square both sides and we get T 2 squared equals 4π squared m 2 over k and then we'll multiply both sides by k over 4π squared to solve for m 2. So m 2 is kT 2 squared over 4π squared. Now k though is this fraction, which we substitute in here, so that's 4π squared m 1 over T 1 squared multiplied by T 2 squared over 4π squared the 4π squared's cancel and we can write this T 2 squared over T 1 squared as T 2 over T 1 all squared if you like and that gets multiplied by m 1 and that's gonna be m 2. So we have T 2 is 1.05 seconds, T 1 is 0.800 seconds; we divide those, square that quotient multiply by 55.0 kilograms and we get 94.7 kilograms is the second diver's mass.