Question
What was the previous far point of a patient who had laser vision correction that reduced the power of her eye by 7.00 D, producing normal distant vision for her?
Final Answer
Solution video
OpenStax College Physics for AP® Courses, Chapter 26, Problem 10 (Problems & Exercises)

vote with a rating of
votes with an average rating of
.
Calculator Screenshots
Video Transcript
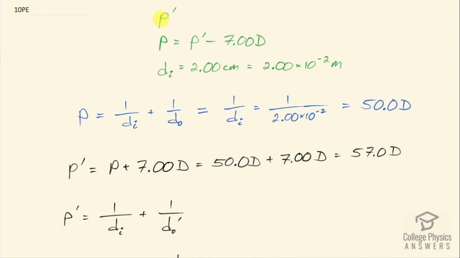
This is College Physics Answers with Shaun Dychko. We are going to find the original far point of a patient before the laser correction. So the power of their eye before correction, we'll label P prime and the power after correction is P prime minus the 7.00 diopters of correction that was produced. And this is normal vision power and we can figure out what this power is by going 1 over image distance plus 1 over object distance when looking at the far point with normal vision. So that's 1 over image distance plus 1 over infinity because the far point for normal vision is infinity— you can see way off into the distance— and so this makes it 1 over d i because 1 over infinity is 0 so this becomes zero. So that's 1 over 2.00 centimeters because 2.00 centimeters is the usual image distance— the distance between the lens and the retina. So that's 1 over 2.00 times 10 to the minus 2 meters and this works out to 50.0 diopters. So we know what P is then and so we have to figure out what P prime is. Well, we can add 7.00 diopters to both sides of this equation and then we can solve for P prime. So that's normal vision P plus the 7.00 diopters and that works out to 57.0 diopters and now that we know this P prime, we can figure out object distance prime—this is the far point before the correction. And so we'll subtract 1 over d i from both sides and we get 1 over the far point is the original power minus 1 over the image distance, which is the same before and after correction, it's the same distance between the lens and the retina— that hasn't changed at all— and that's why this d i does not get a prime because it's the same before and after correction. So we take both sides of this equation to the exponent negative 1 and we solve for object distance prime which is the power prime minus 1 over d i all to the power of negative 1. So that's 57.0 diopters minus 1 over 2.00 times 10 to the minus 2 meters to the negative 1, this works out to 14.3 centimeters. So this person is extremely near-sighted— they can't see very far in other words— they can only see up to 14.3 centimeters in front of them.