Question
A very myopic man has a far point of 20.0 cm. What power contact lens (when on the eye) will correct his distant vision?
Final Answer
Solution video
OpenStax College Physics for AP® Courses, Chapter 26, Problem 16 (Problems & Exercises)

vote with a rating of
votes with an average rating of
.
Calculator Screenshots
Video Transcript
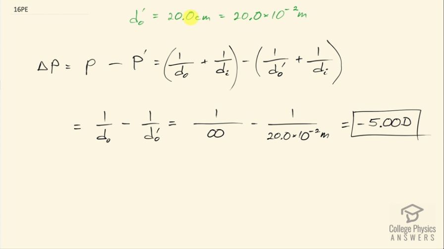
This is College Physics Answers with Shaun Dychko. This person has a far point of 20.0 centimeters so the furthest thing that they can see away from them without any glasses is 20.0 centimeters away and they want a far point of infinity— that would be for normal vision— so what kind of lens do they need, what power contact lens do they need to have normal vision? And it's going to be the difference between the normal power, which I have labeled P and the power with no correction, which is P prime so this prime is labeling the naked eye so this is the d o prime because it's the object distance at its furthest with no correction. So we'll take 1 over object distance plus 1 over image distance for normal vision and then subtract from that 1 over object distance prime plus 1 over the same image distance; this image distance is the distance between the lens and the retina, which is the same whether they have contact lenses on or not so there's no need for a prime there. So this is 1 over d i minus the same 1 over d i and they make zero and we are left with 1 over d o— this is the object distance with normal vision— minus 1 over d o prime—object distance with no correction. Now for normal vision, the object distance is infinity— that should be the far point normally— whereas this person's eye has a far point of 20.0 times 10 to the minus 2 meters and that difference is negative 5.00 diopters. So this is the correction needed, this is the power required from the contact lenses: negative 5.00 diopters.