Question
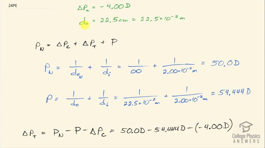
The contact lens prescription for a nearsighted person is –4.00 D and the person has a far point of 22.5 cm. What is the power of the tear layer between the cornea and the lens if the correction is ideal, taking the tear layer into account?
Final Answer
Solution video
OpenStax College Physics for AP® Courses, Chapter 26, Problem 24 (Problems & Exercises)

vote with a rating of
votes with an average rating of
.
Calculator Screenshots
Video Transcript
This is College Physics Answers with Shaun Dychko. A near-sighted person has a contact lens with a power of negative 4.00 diopters and a far point of 22.5 centimeters, which is 22.5 times 10 to the minus 2 meters so this is the object distance when looking as far in the distance as possible with no correction. So this correction due to the contact lens adds to the correction caused by the tear layer and then also that adds to the power when the person does not have any correction at all and all of this has to add up to normal power because that's the purpose of this contact lens is to take these other two terms and then add whatever is needed to them to create normal vision in other words, create a far point of infinity. So we are going to first figure out what this power is for normal vision and then we'll also figure out what the power is with no correction and then we'll solve for ΔP T for the tear layer. So with normal vision, the power when looking at the far point is 1 over infinity because that's the object distance for normal vision at the far point plus 1 over the image distance, which is the distance between the lens and the retina which is 2.00 centimeters for a regular eye and that's written as 2.00 times 10 to the minus 2 meters, this works out to 50.0 diopters. The power of this particular person's eye when there's no correction is 1 over the far point object distance plus 1 over the image distance and that is 1 over 22.5 times 10 to the minus 2 meters plus 1 over 2.00 times 10 to the minus 2 meters and this works out to 54.444 diopters and this image distance is the same as before because it's the same lens-retina distance. So we can solve this equation for ΔP T, which is the power of the tear layer by subtracting ΔP C and P from both sides and then we have this line here. So the power of the tear layer then is the 50.0 diopters—for normal vision— minus 54.444 diopters— the power at the far point with no correction— and then minus the negative 4.00 diopters correction due to the contact lenses and pay attention to this minus a negative, which becomes plus, this works out to 0.444 diopters must be the power of the tear layer.