Question
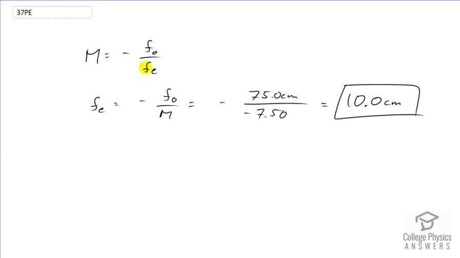
A 7.5x binocular produces an angular magnification of -7.50, acting like a telescope. (Mirrors are used to make the image upright.) If the binoculars have objective lenses with a 75.0 cm focal length, what is the focal length of the eyepiece lenses?
Final Answer
10.0 cm
Solution video
OpenStax College Physics for AP® Courses, Chapter 26, Problem 37 (Problems & Exercises)

vote with a rating of
votes with an average rating of
.
Calculator Screenshots
Video Transcript
This is College Physics Answers with Shaun Dychko. Magnification is the negative of the focal length of the objective divided by focal length of the eyepiece. So, to find focal length of the eyepiece, we multiply both sides by Fe divided by magnification. And so, we have the focal length of the eyepiece s negative of the objective focal length divided by magnification. So, that's negative of 75 centimeters divided by negative 7.5, which is a 10.0 centimeter focal length for the eyepiece.