Question
(a) The print in many books averages 3.50 mm in height. How high is the image of the print on the retina when the book is held 30.0 cm from the eye?
(b) Compare the size of the print to the sizes of rods and cones in the fovea and discuss the possible details observable in the letters. (The eye-brain system can perform better because of interconnections and higher order image processing.)
Final Answer
- The size of a cone, , is much less than the size of the image. Therefore details of the letter will be easily resolved.
Solution video
OpenStax College Physics for AP® Courses, Chapter 26, Problem 3 (Problems & Exercises)

vote with a rating of
votes with an average rating of
.
Calculator Screenshots
Video Transcript
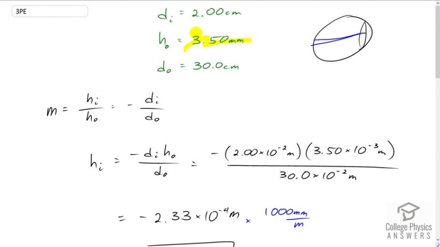
This is College Physics Answers with Shaun Dychko. We're told that the letters on a page are both three and a half millimeters high. That is the object height. We also know what the object distance is. The book is held 30 centimeters in front of the eye. And so, here's the lens of the eye and then there's the book here. That's the object distance with 30 centimeters. And, we're told also that the lens retina distance should be considered two centimeters for all the problems in this chapter. And so, we have these three pieces of information to work with. Now, we have to find out what the image height is. And so, what height will this three and a half millimeter letter on the page have when it's on the retina. So, we know that magnification is image height divided by object height, and that equals also negative of image distance divided by object distance. And, we have three of these things and we need to solve for Hi. So, we multiply both sides by Ho. So, the image height then is negative of image distance times object height divided by object distance. So, that's negative of two centimeters written as times ten to the minus two meters times three and a half times ten to the minus three meters divided by 30 times ten to the minus two meters. And, this gives this many meters, which we'll convert in to millimeters and it's negative 233 millimeters. So, this negative sign means that the letter is flipped on the retina, but then your brain is smart enough to flip it back right side up again. Now, part B is asking compare the size of the print to the size of the rods and cones in the fovea and the fovea is the center part of your eye. And, we'll see how much resolution could be possible. So, now the possible resolution will depend on how the area of a cone compares with the size of the image that's on the retina. So, we need to figure out the area of one cone. Now, the information we are given in section 26.3 is that there are six million cones in the fovea and the fovea has the size of about five millimeters. So, we'll find the area of the cone is going to be the area of the fovea divided by the number of cones that are there. And, we can also say that the area of a cone is pi times its diameter squared over four. And then, we'l figure out the diameter of the cone down here and find that it's two micrometers. So, the area of the fovea then is pi times the fovea's radius squared divided by the number of cones. And, we don't know what the radius is but we know the diameter, so we'll substitute that in, diameter over two, in place of radius. This works out to pi times diameter of the fovea squared over four times the number of cones. And, the area of a cone also is pi times diameter of a cone squared over four. So, we can equate this with this because they're both equal to area of the cone. And, we did that here. And then, we can solve for Dc squared by multiplying both sides by four over pi. And then, take the square root of both sides. So, the diameter of a cone is the diameter of the fovea, which we know is five millimeters, and divided by the square root of the number of cones. So, that's the square root of six million, which is 0.002 millimeters, which is two micrometers. So, two micrometers is much smaller than the 233 micrometer image size. This 0.223 millimeters is the same as 223 micrometers. And so, because the cones are smaller than the image, that means you will have a good resolution.