Chapter 26
Chapter thumbnail

Chapter 26 : Vision and Optical Instruments - all with Video Solutions
Section 26.1
: Physics of the Eye
Section 26.2
: Vision Correction
Section 26.4
: Microscopes
Section 26.5
: Telescopes
Section 26.6
: Aberrations
Problems & Exercises
Section 26.1: Physics of the Eye
Problem 3
(a) The print in many books averages 3.50 mm in height. How high is the image of the print on the retina when the book is held 30.0 cm from the eye?
(b) Compare the size of the print to the sizes of rods and cones in the fovea and discuss the possible details observable in the letters. (The eye-brain system can perform better because of interconnections and higher order image processing.)
Problem 4
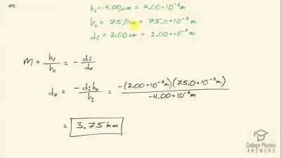
Suppose a certain person’s visual acuity is such that he can see objects clearly that form an image high on
his retina. What is the maximum distance at which he can read the 75.0 cm high letters on the side of an airplane?
Problem 5
People who do very detailed work close up, such as jewellers, often can see objects clearly at much closer distance than the normal 25 cm.
(a) What is the power of the eyes of a woman who can see an object clearly at a distance of only 8.00 cm?
(b) What is the size of an image of a 1.00 mm object, such as lettering inside a ring, held at this distance?
(c) What would the size of the image be if the object were held at the normal 25.0 cm distance?
Section 26.2: Vision Correction
Problem 6
What is the far point of a person whose eyes have a relaxed power of 50.5 D?
Problem 7
What is the near point of a person whose eyes have an accommodated power of 53.5 D?
Problem 8
(a) A laser vision correction reshaping the cornea of a myopic patient reduces the power of his eye by 9.00 D, with a uncertainty in the final correction. What is the range of diopters for spectacle lenses that this person might need after LASIK procedure? (b) Was the person nearsighted or farsighted before the procedure? How do you know?
Problem 9
In a LASIK vision correction, the power of a patient’s eye is increased by 3.00 D. Assuming this produces normal close vision, what was the patient’s near point before the procedure?
Problem 10
What was the previous far point of a patient who had laser vision correction that reduced the power of her eye by 7.00 D, producing normal distant vision for her?
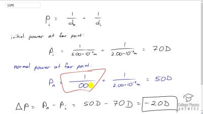
Problem 11
A severely myopic patient has a far point of 5.00 cm. By how many diopters should the power of his eye be reduced in laser vision correction to obtain normal distant vision for him?
Problem 12
A student’s eyes, while reading the blackboard, have a power of 51.0 D. How far is the board from his eyes?
Problem 13
The power of a physician’s eyes is 53.0 D while examining a patient. How far from her eyes is the feature being examined?
Problem 14
A young woman with normal distant vision has a 10.0% ability to accommodate (that is, increase) the power of her eyes. What is the closest object she can see clearly?
Problem 15
The far point of a myopic administrator is 50.0 cm. (a) What is the relaxed power of his eyes? (b) If he has the normal 8.00% ability to accommodate, what is the closest object he can see clearly?
Problem 16
A very myopic man has a far point of 20.0 cm. What power contact lens (when on the eye) will correct his distant vision?
Problem 17
A very myopic man has a far point of 20.0 cm. What power eyeglasses, positioned 1.50 cm from his eyes, will correct his distant vision?
Problem 18
A myopic person sees that her contact lens prescription is –4.00 D . What is her far point?
Problem 19
A myopic person sees that her eyeglasses perscription is -4.00 D, for eyeglasses positioned 1.75 cm from her eyes. What is her far point?
Problem 20
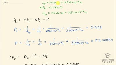
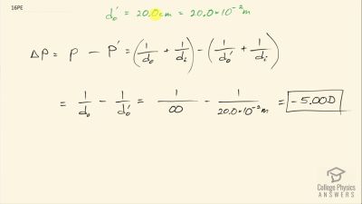
The contact lens prescription for a mildly farsighted person is 0.750 D, and the person has a near point of 29.0 cm. What is the power of the tear layer between the cornea and the lens if the correction is ideal, taking the tear layer into account?
Problem 21
A nearsighted man cannot see objects clearly beyond 20 cm from his eyes. How close must he stand to a mirror in order to see what he is doing when he shaves?
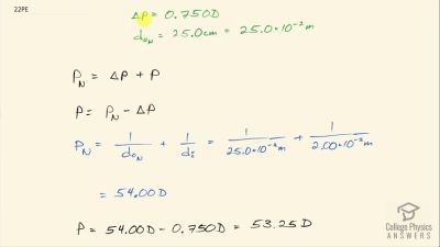
Problem 22
A mother sees that her child’s contact lens prescription is 0.750 D. What is the child’s near point?
Problem 23
A mother sees that her child’s eyeglasses prescription is 0.750 D, for eyeglasses that are positioned 2.20 cm from her eyes. What is the child’s near point?
Problem 24
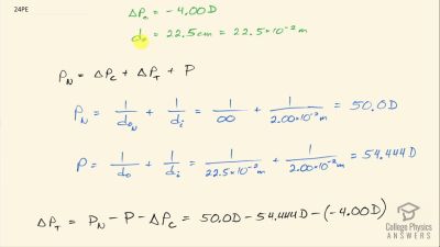
The contact lens prescription for a nearsighted person is –4.00 D and the person has a far point of 22.5 cm. What is the power of the tear layer between the cornea and the lens if the correction is ideal, taking the tear layer into account?
Problem 25
A boy has a near point of 50 cm and a far point of 500 cm. Will a -4.00 D lens correct his far point to infinity?
Section 26.4: Microscopes
Problem 26
A microscope with an overall magnification of 800 has an objective that magnifies by 200. (a) What is the magnification of the eyepiece? (b) If there are two other objectives that can be used, having magnifications of 100 and 400, what other total magnifications are possible?
Problem 27
(a) What magnification is produced by a 0.150 cm focal length microscope objective that is 0.155 cm from the object being viewed? (b) What is the overall magnification if an 8x eyepiece (one that produces a magnification of 8.00) is used?
Problem 28
(a) Where does an object need to be placed relative to a microscope for its 0.500 cm focal length objective to produce a magnification of –400 ? (b) Where should the 5.00 cm focal length eyepiece be placed to produce a further fourfold (4.00) magnification?
Problem 29
You switch from a 1.40NA 60x oil immersion objective to a 0.35NA 20x air immersion objective. What are the acceptance angles for each? Compare and comment on the values. Which would you use first to locate the target area on your specimen?
Problem 30
An amoeba is 0.305 cm away from the 0.300 cm focal length objective lens of a microscope. (a) Where is the image formed by the objective lens? (b) What is this image’s magnification? (c) An eyepiece with a 2.00 cm focal length is placed 20.0 cm from the objective. Where is the final image? (d) What magnification is produced by the eyepiece? (e) What is the overall magnification? (See Figure 26.16.)
Problem 31
You are using a standard microscope with a 0.10NA 4x objective and switch to a 0.65NA 40x objective. What are the acceptance angles for each? Compare and comment on the values. Which would you use first to locate the target area on of your specimen?
Problem 32
Your friends show you an image through a microscope. They tell you that the microscope has an objective with a 0.500 cm focal length and an eyepiece with a 5.00 cm focal length. The resulting overall magnification is 250,000. Are these viable values for a microscope?
Section 26.5: Telescopes
Problem 33
What is the angular magnification of a telescope that has a 100 cm focal length objective and a 2.50 cm focal length eyepiece?
Problem 34
Find the distance between the objective and eyepiece lenses in the telescope in the above problem needed to produce a final image very far from the observer, where vision is most relaxed. Note that a telescope is normally used to view very distant objects.
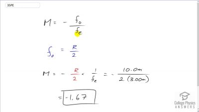
Problem 35
A large reflecting telescope has an objective mirror with a 10.0 m radius of curvature. What angular magnification does it produce when a 3.00 m focal length eyepiece is used?
Problem 36
A small telescope has a concave mirror with a 2.00 m radius of curvature for its objective. Its eyepiece is a 4.00 cm focal length lens. (a) What is the telescope’s angular magnification? (b) What angle is subtended by a 25,000 km diameter sunspot? (c) What is the angle of its telescopic image?
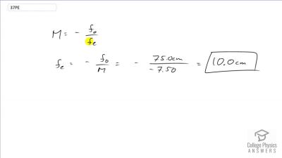
Problem 37
A 7.5x binocular produces an angular magnification of -7.50, acting like a telescope. (Mirrors are used to make the image upright.) If the binoculars have objective lenses with a 75.0 cm focal length, what is the focal length of the eyepiece lenses?
Section 26.6: Aberrations
Problem 39
(a) During laser vision correction, a brief burst of 193 nm ultraviolet light is projected onto the cornea of the patient. It makes a spot 1.00 mm in diameter and deposits 0.500 mJ of energy. Calculate the depth of the layer ablated, assuming the corneal tissue has the same properties as water and is initially at . The tissue’s temperature is increased to and evaporated without further temperature increase.
(b) Does your answer imply that the shape of the cornea can be finely controlled?
Test Prep for AP® Courses
Section 26.1: Physics of the Eye
Problem 1 (AP)
A tree that is 3 m tall is viewed from a distance of 25 m. If the cornea-to-retina distance of an ideal eye is 2 cm, how tall is the image of the tree on the observer’s retina?
- 0.24 cm
- 0.5 cm
- 0.5 m
- 0.08 cm
Problem 2 (AP)
Often people with lens-to-retina distances smaller than 2 cm purchase glasses to place in front of their eyes.
- Explain why people with lens-to-retina distances smaller than 2 cm need glasses.
- Explain whether the glasses should be composed of converging or diverging lenses.
- Draw a ray diagram demonstrating the ability to see with and without the glasses.
Section 26.2: Vision Correction
Problem 3 (AP)
Which of the following types of light have a wavelength greater than that of visible light?
- gamma rays
- infrared
- radio
- ultraviolet
- I, II, and III
- I and IV only
- II and III only
- III only
Problem 4 (AP)
In LASIK surgery, a coherent UV light of 193 nm is focused on the corneal tissue.
- Explain the importance of using light that is all the same wavelength.
- Explain why UV light is more effective than infrared light at evaporating the corneal tissue.
Section 26.3: Color and Color Vision
Problem 5 (AP)
A student sees a piece of paper sitting on a tablWhich of the following would not result in the student observing the paper as yellow?
- Yellow light shines on a black paper.
- White light shines on a yellow paper.
- Yellow light shines on a white paper.
- Red and green lights shine on a white paper.
Problem 6 (AP)
A white light is projected onto a tablecloth. Using the light reflecting off the tablecloth, an observer determines that the color of the tablecloth is blue.
- Using the wave model of light, explain how the observer is capable of making this judgment.
- Describe how using the particle model of light limits our explanation of the observer’s judgment.
Section 26.4: Microscopes
Problem 7 (AP)
Which of the following correctly describes the image created by a microscope?
- The image is real, inverted, and magnified.
- The image is virtual, inverted, and magnified.
- The image is real, upright, and magnified.
- The image is virtual, upright, and magnified.
Problem 8 (AP)
Use the diagram shown below to answer the following questions.
Draw two rays leaving the arrow shown to the left of both lenses. Use ray tracing to draw the images created by the objective and eyepiece lenses. Label the images as and .
Section 26.5: Telescopes
Problem 9 (AP)
Which of the following is an advantage to using a concave mirror in the construction of a telescope?
- The telescope can gather more light than a telescope using lenses.
- The telescope does not suffer from chromatic aberration.
- The telescope can provide greater magnification than a telescope using lenses.
- I and III only
- II only
- I and II only
- I, II, and III
Problem 10 (AP)
A spherical mirror is used to construct a telescope.
- Using the picture below, Figure 26.32, draw two rays incident on the object mirror and continue their path through the eye lens.
- The plane mirror is replaced with a concave lens as in Figure 26.33. Using the picture below, draw the path of two incident rays.
- Using the concave lens setup, describe the final image created by the concave lens.
Problem 11 (AP)
Two concave lenses, of focal lengths 500 mm and 20 mm, are used in the construction of a telescope. Given any potential arrangement, what is the largest possible magnification the telescope may have?
- 100x
- 10,000x
- 25x
- 4x