Question
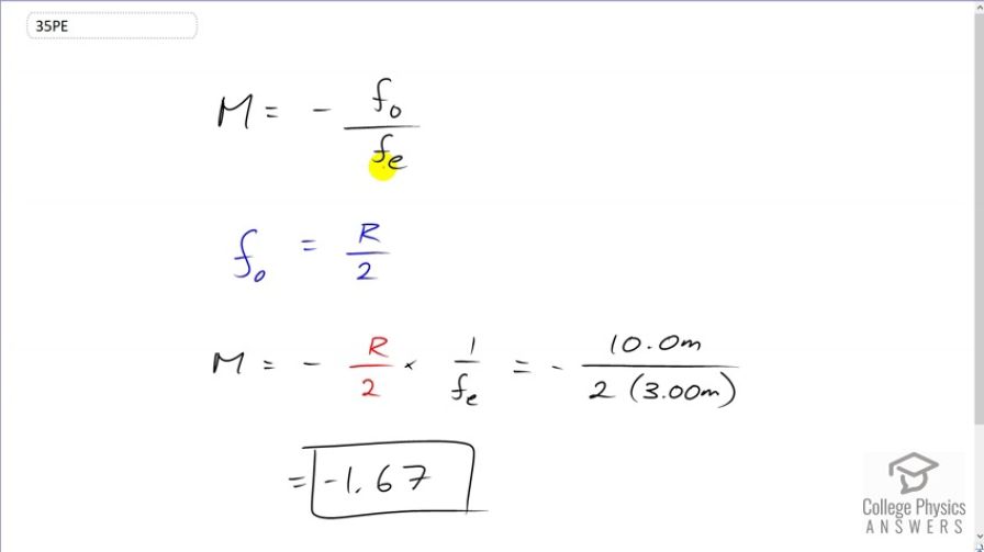
A large reflecting telescope has an objective mirror with a 10.0 m radius of curvature. What angular magnification does it produce when a 3.00 m focal length eyepiece is used?
Final Answer
-1.67
Solution video
OpenStax College Physics for AP® Courses, Chapter 26, Problem 35 (Problems & Exercises)

vote with a rating of
votes with an average rating of
.
Calculator Screenshots
Video Transcript
This is College Physics Answers with Shaun Dychko. The magnification of this telescope will be the negative of the focal length of its objective mirror divided by the focal length of the eyepiece. So, the focal length for a mirror is half of its radius of curvature. So, we'll substitute R over two in place of Fo. So, magnification is negative R over two times one over the focal length of the eyepiece. So, that's negative ten meters divided by two times three meters, which is negative 1.67 magnification.