Question
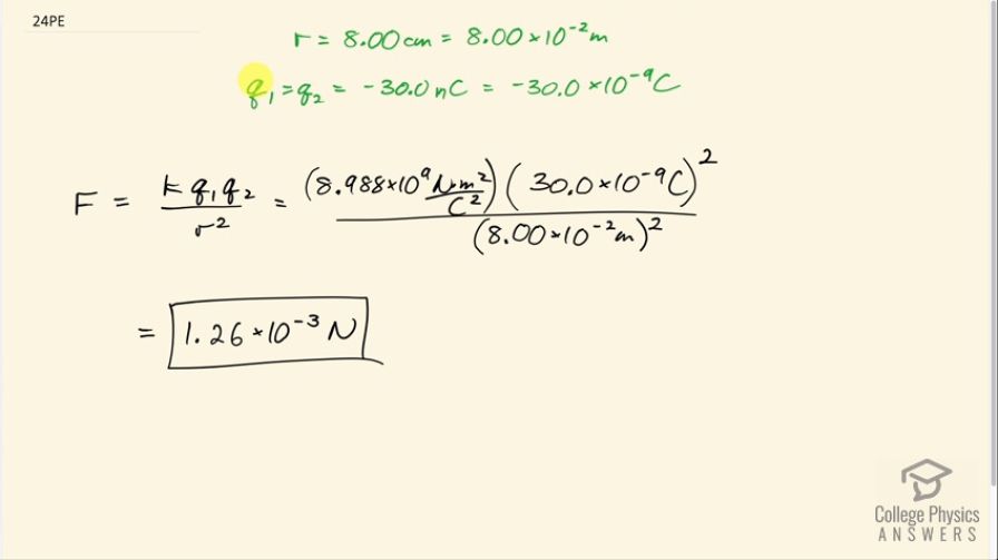
What is the repulsive force between two pith balls that are 8.00 cm apart and have equal charges of – 30.0 nC?
Final Answer
Solution video
OpenStax College Physics for AP® Courses, Chapter 18, Problem 24 (Problems & Exercises)

vote with a rating of
votes with an average rating of
.
Calculator Screenshots
Video Transcript
This is College Physics Answers with Shaun Dychko. The distance between two pith balls is 8.00 centimeters which is 8.00 times 10 to the minus 2 meters and they each have an equal charge of negative 30.0 nanocoulombs which is negative 30.0 times 10 to the minus 9 coulombs. So the coulomb force between these two pith balls is gonna be the Coulomb constant times the charge on the first multiplied by the charge on the second divided by the distance between them squared. So Coulomb's constant is 8.988 times 10 to the 9 newton meters squared per coulomb squared times 30.0 times 10 to the minus 9 coulombs which we square since q 1 and q 2 are the same and we don't need to put this negative in there although you could because when you square it, it won't make any difference but this is just finding the magnitude of the force and then you have to figure out direction based on your understanding of the situation. So in this case, the direction will be repulsive and so if they are side by side here, the force on one will be to the right and the force on the other will be to the left. Okay! So we divide that by the separation— 8.00 times 10 to the minus 2 meters squared— and that gives a force of 1.26 times 10 to the minus 3 newtons.