Question
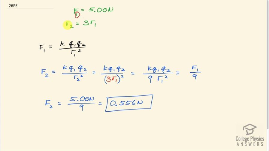
Two point charges exert a 5.00 N force on each other. What will the force become if the distance between them is increased by a factor of three?
Final Answer
Solution video
OpenStax College Physics for AP® Courses, Chapter 18, Problem 26 (Problems & Exercises)

vote with a rating of
votes with an average rating of
.
Calculator Screenshots
Video Transcript
This is College Physics Answers with Shaun Dychko. Two charges exert a force on each other of 5.00 newtons at their first separation and then they move to a second distance apart which is three times the first distance apart and the force in the first scenario is Coulomb's constant times the charge on the first thing multiplied by the second charge divided by their first distance squared. And then the second force is kq 1q 2 over their second separation squared and we can replace r 2 with 3 times r 1 and then square this which becomes 9r 1 squared and all of this is force 1 so we can replace all of that with F 1, which is a substitution so we will write that in red there so F 2 then is F 1 divided by 9. So F 2 is 5.00 newtons divided by 9 which is 0.556 newtons.