Question
Two point charges are brought closer together, increasing the force between them by a factor of 25. By what factor was their separation decreased?
Final Answer
Their separation was decreased by a factor of .
Solution video
OpenStax College Physics for AP® Courses, Chapter 18, Problem 27 (Problems & Exercises)

vote with a rating of
votes with an average rating of
.
Video Transcript
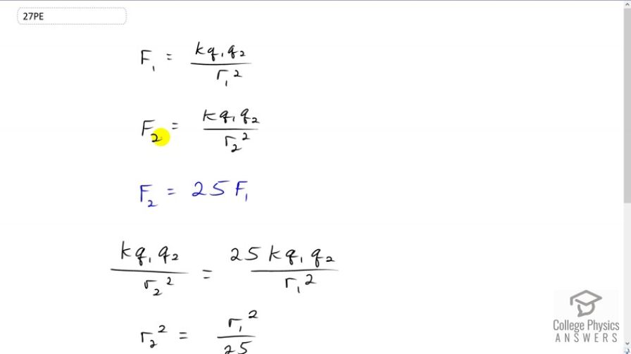
This is College Physics Answers with Shaun Dychko. The force between two charges in the first case is kq1q2 over r1 squared. And in the second case, we're told that the charges are the same but the distance between them changes and so we have a subscript two on the r here instead. And we're told that the force in the second case is 25 times the force in the first case. So we can say F2 is 25 times F1. And we have a bunch of common factors that we can cancel divide both sides by kq1q2. Then we have one over r2 squared equals 25 over r1 squared. And we can flip both sides by raising them both to the exponent negative one or take the reciprocal of both sides in other words. And we get r2 squared is r1 squared over 25. Then take the square root of both sides and you get r2 is r1 over five. So that means the separation was decreased by a factor of one fifth.