Chapter 18

Chapter thumbnail
Static electricity from this plastic slide causes the child's hair to stand on end. The sliding motion stripped electrons away from the child's body, leaving an excess of positive charges, which repel each other along each strand of hair.

Chapter 18 : Electric Charge and Electric Field - all with Video Solutions

Problems & Exercises

Section 18.1: Static Electricity and Charge: Conservation of Charge

Problem 1

Common static electricity involves charges ranging from nanocoulombs to microcoulombs. (a) How many electrons are needed to form a charge of 2.00 nC-2.00 \textrm{ nC} (b) How many electrons must be removed from a neutral object to leave a net charge of 0.500 μC0.500 \textrm{ }\mu\textrm{C}?

View solution

Problem 2

If 1.80×10201.80\times 10^{20} electrons move through a pocket calculator during a full day's operation, how many coulombs of charge moved through it?

View solution

Problem 3

To start a car engine, the car battery moves 3.75×10213.75 \times 10^{21} electrons through the starter motor. How many coulombs of charge were moved?

View solution

Section 18.2: Conductors and Insulators

Problem 5

Suppose a speck of dust in an electrostatic precipitator has 1.0000×10121.0000 \times 10^{12} protons in it and has a net charge of –5.00 nC (a very large charge for a small speck). How many electrons does it have?

View solution

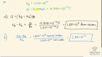
Problem 6

An amoeba has 1.00×10161.00\times 10^{16} protons and a net charge of 0.300 pC. (a) How many fewer electrons are there than protons? (b) If you paired them up, what fraction of the protons would have no electrons?

View solution

Problem 7

A 50.0 g ball of copper has a net charge of 2.00 μC2.00 \textrm{ }\mu\textrm{C}. What fraction of the copper's electrons has been removed? (Each copper atom has 29 protons, and copper has an atomic mass of 63.5.)

View solution

Problem 8

What net charge would you place on a 100 g piece of sulfur if you put an extra electron on 1 in 101210^{12} of its atoms? (Sulfur has an atomic mass of 32.1.)

View solution

Problem 9

How many coulombs of positive charge are there in 4.00 kg of plutonium, given its atomic mass is 244 and that each plutonium atom has 94 protons?

View solution

Section 18.3: Conductors and Electric Fields in Static Equilibrium

Problem 10

Sketch the electric field lines in the vicinity of the conductor in Figure 18.47 given the field was originally uniform and parallel to the object's long axis. Is the resulting field small near the long side of the object?

View solution

Problem 11

Sketch the electric field lines in the vicinity of the conductor in Figure 18.48 given the field was originally uniform and parallel to the object's long axis. Is the resulting field small near the long side of the object?

View solution

Problem 12

Sketch the electric field between the two conducting plates shown in Figure 18.49, given the top plate is positive and an equal amount of negative charge is on the bottom plate. Be certain to indicate the distribution of charge on the plates.

View solution

Problem 13

Sketch the electric field lines in the vicinity of the charged insulator in Figure 18.50 noting its nonuniform charge distribution.

View solution

Problem 14

What is the force on the charge located at x=8.00 cmx = 8.00\textrm{ cm} in Figure 18.51(a) given that q=1.00 μCq = 1.00\textrm{ }\mu\textrm{C}?

View solution

Problem 15

(a) Find the total electric field at x=1.00 cmx = 1.00 \textrm{ cm} in Figure 18.51(b) given that q=5.00 nCq = 5.00 \textrm{ nC}. (b) Find the total electric field at x=11.00 cmx = 11.00 \textrm{ cm} in Figure 18.51(b). (c) If the charges are allowed to move and eventually be brought to rest by friction, what will the final charge configuration be? (That is, will there be a single charge, double charge, etc., and what will its value(s) be?)

View solution

Problem 16

(a) Find the electric field at x=5.00 cmx = 5.00\textrm{ cm} in Figure 18.51(a), given that q=1.00 μCq = 1.00\textrm{ }\mu\textrm{C}. (b) At what position between 3.00 and 8.00 cm is the total electric field the same as that for 2q-2q alone? (c) Can the electric field be zero anywhere between 0.00 and 8.00 cm? (d) At very large positive or negative values of x, the electric field approaches zero in both (a) and (b). In which does it most rapidly approach zero and why? (e) At what position to the right of 11.0 cm is the total electric field zero, other than at infinity? (Hint: A graphing calculator can yield considerable insight in this problem.)

View solution

Problem 17

(a) Find the total Coulomb force on a charge of 2.00 nC located at x=4.00 cmx = 4.00 \textrm{ cm} in Figure 18.51 (b), given that q=1.00 μCq = 1.00 \textrm{ }\mu\textrm{C}. (b) Find the x-position at which the electric field is zero in Figure 18.51 (b).

View solution

Problem 18

Using the symmetry of the arrangement, determine the direction of the force on q in the figure below, given that qa=qb=+7.50 μCq_a = q_b = +7.50\textrm{ }\mu\textrm{C} and qc=qd=7.50 μCq_c=q_d = -7.50\textrm{ }\mu\textrm{C}. (b) Calculate the magnitude of the force on the charge qq , given that the square is 10.0 cm on a side and q=2.00 μCq = 2.00\textrm{ }\mu\textrm{C}.

View solution

Problem 19

(a) Using the symmetry of the arrangement, determine the direction of the electric field at the center of the square in Figure 18.52, given that qa=qb=1.00 μCq_a = q_b = -1.00 \textrm{ }\mu\textrm{C} and qc=qd=+1.00 μCq_c = q_d = +1.00 \textrm{ }\mu\textrm{C}. (b) Calculate the magnitude of the electric field at the location of qq, given that the square is 5.00 cm on a side.

View solution

Problem 20

Find the electric field at the location of qa in Figure 18.52 given that qb=qc=qd=+2.00 nCq_b = q_c = q_d = +2.00\textrm{ nC}, q=1.00 nCq = -1.00\textrm{ nC}, and the square is 20.0 cm on a side.

View solution

Problem 21

Find the total Coulomb force on the charge qq in Figure 18.52, given that q=1.00 μCq = 1.00 \textrm{ }\mu\textrm{C}, qa=2.00 μCq_a = 2.00 \textrm{ }\mu\textrm{C}, qb=3.00 μCq_b = -3.00 \textrm{ }\mu\textrm{C}, qc=4.00 μCq_c = -4.00 \textrm{ }\mu\textrm{C}, and qd=+1.00 μCq_d = +1.00 \textrm{ }\mu\textrm{C}.The square is 50.0 cm on a side.

View solution

Problem 22

(a) Find the electric field at the location of qaq_a in Figure 18.53, given that qb=+10.00 μCq_b = +10.00\textrm{ }\mu\textrm{C} and qc=5.00 μCq_c = -5.00\textrm{ }\mu\textrm{C}. (b) What is the force on qaq_a, given that qa=+1.50 nCq_a = +1.50\textrm{ nC}?

View solution

Problem 23

(a) Find the electric field at the center of the triangular configuration of charges in Figure 18.53, given that qa=+2.50 nCq_a = +2.50 \textrm{ nC}, qb=8.00 nCq_b = -8.00 \textrm{ nC}, and qc=+1.50 nCq_c = +1.50 \textrm{ nC}. (b) Is there any combination of charges, other than qa=qb=qcq_a = q_b = q_c, that will produce a zero strength electric field at the center of the triangular configuration? The equilateral triangle has a side length of 25.0 cm25.0 \textrm{ cm}.

View solution

Section 18.4: Coulomb's Law

Problem 25

(a) How strong is the attractive force between a glass rod with a 0.700 μC0.700 \textrm{ }\mu\textrm{C} charge and a silk cloth with a 0.600 μC-0.600 \textrm{ }\mu\textrm{C} charge, which are 12.0 cm apart, using the approximation that they act like point charges? (b) Discuss how the answer to this problem might be affected if the charges are distributed over some area and do not act like point charges.

View solution

Problem 26

Two point charges exert a 5.00 N force on each other. What will the force become if the distance between them is increased by a factor of three?

View solution

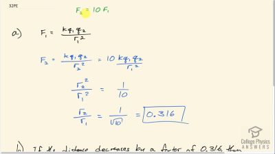
Problem 27

Two point charges are brought closer together, increasing the force between them by a factor of 25. By what factor was their separation decreased?

View solution

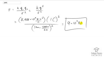
Problem 29

If two equal charges each of 1 C each are separated in air by a distance of 1 km, what is the magnitude of the force acting between them? You will see that even at a distance as large as 1 km, the repulsive force is substantial because 1 C is a very significant amount of charge.

View solution

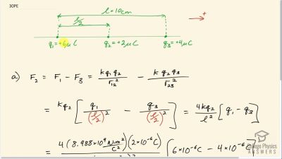
Problem 30

A test charge of +2 μC+2\textrm{ }\mu\textrm{C} is placed halfway between a charge of +6 μC+6\textrm{ }\mu\textrm{C} and another of +4 μC+4 \textrm{ }\mu\textrm{C} separated by 10 cm. (a) What is the magnitude of the force on the test charge? (b) What is the direction of this force (away from or toward the +6 μC+6\textrm{ }\mu\textrm{C} charge)?

View solution

Problem 31

Bare free charges do not remain stationary when close together. To illustrate this, calculate the acceleration of two isolated protons separated by 2.00 nm (a typical distance between gas atoms). Explicitly show how you follow the steps in the Problem-Solving Strategy for electrostatics.

View solution

Problem 32

(a) By what factor must you change the distance between two point charges to change the force between them by a factor of 10? (b) Explain how the distance can either increase or decrease by this factor and still cause a factor of 10 change in the force.

View solution

Problem 33

Suppose you have a total charge qtotq_{tot} that you can split in any manner. Once split, the separation distance is fixed. How do you split the charge to achieve the greatest force?

View solution

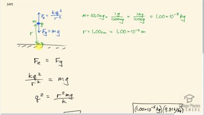
Problem 34

(a) Common transparent tape becomes charged when pulled from a dispenser. If one piece is placed above another, the repulsive force can be great enough to support the top piece's weight. Assuming equal point charges (only an approximation), calculate the magnitude of the charge if electrostatic force is great enough to support the weight of a 10.0 mg piece of tape held 1.00 cm above another. (b) Discuss whether the magnitude of this charge is consistent with what is typical of static electricity.

View solution

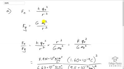
Problem 35

a) Find the ratio of the electrostatic to gravitational force between two electrons. (b) What is this ratio for two protons? (c) Why is the ratio different for electrons and protons?

View solution

Problem 37

A certain five cent coin contains 5.00 g of nickel. What fraction of the nickel atoms' electrons, removed and placed 1.00 m above it, would support the weight of this coin? The atomic mass of nickel is 58.7, and each nickel atom contains 28 electrons and 28 protons.

View solution

Problem 38

(a) Two point charges totaling 8.00 μC8.00\textrm{ }\mu\textrm{C} exert a repulsive force of 0.150 N on one another when separated by 0.500 m. What is the charge on each? (b) What is the charge on each if the force is attractive?

View solution

Problem 39

Point charges of 5.00 μC5.00 \textrm{ }\mu\textrm{C} and 3.00 μC-3.00 \textrm{ }\mu\textrm{C} are placed 0.250 m apart. (a) Where can a third charge be placed so that the net force on it is zero? (b) What if both charges are positive?

View solution

Problem 40

Two point charges q1q_1 and q2q_2 are 3.00 m apart, and their total charge is 20 μC20\textrm{ }\mu\textrm{C} . (a) If the force of repulsion between them is 0.075N, what are magnitudes of the two charges? (b) If one charge attracts the other with a force of 0.525N, what are the magnitudes of the two charges? Note that you may need to solve a quadratic equation to reach your answer.

View solution

Section 18.5: Electric Field: Concept of a Field Revisited

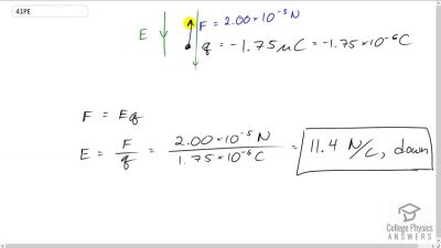
Problem 41

What is the magnitude and direction of an electric field that exerts a 2.00×105 N2.00 \times 10^{-5} \textrm{ N} upward force on a 1.75 μC-1.75 \textrm{ }\mu\textrm{C} charge?

View solution

Problem 42

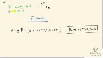
What is the magnitude and direction of the force exerted on a 3.50 μC3.50\textrm{ }\mu\textrm{C} charge by a 250 N/C electric field that points due east?

View solution

Problem 43

Calculate the magnitude of the electric field 2.00 m from a point charge of 5.00 mC (such as found on the terminal of a Van de Graaff).

View solution

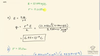
Problem 44

(a) What magnitude point charge creates a 10,000 N/C electric field at a distance of 0.250 m? (b) How large is the field at 10.0 m?

View solution

Problem 45

Calculate the initial (from rest) acceleration of a proton in a 5.00×106 N/C5.00 \times 10^6 \textrm{ N/C} electric field (such as created by a research Van de Graaff). Explicitly show how you follow the steps in the Problem-Solving Strategy for electrostatics.

View solution

Problem 46

(a) Find the direction and magnitude of an electric field that exerts a 4.80×1017 N4.80\times 10^{-17}\textrm{ N} westward force on an electron. (b) What magnitude and direction force does this field exert on a proton?

View solution

Section 18.6: Electric Field Lines: Multiple Charges

Problem 49

Figure 18.54 shows the electric field lines near two charges q1q_1 and q2q_2. What is the ratio of their magnitudes? (b) Sketch the electric field lines a long distance from the charges shown in the figure.

View solution

Problem 50

Sketch the electric field lines in the vicinity of two opposite charges, where the negative charge is three times greater in magnitude than the positive. (See Figure 18.54 for a similar situation).

View solution

Section 18.8: Applications of Electrostatics

Problem 51

(a) What is the electric field 5.00 m from the center of the terminal of a Van de Graaff with a 3.00 mC charge, noting that the field is equivalent to that of a point charge at the center of the terminal? (b) At this distance, what force does the field exert on a 2.00 μC2.00 \textrm{ }\mu\textrm{C} charge on the Van de Graaff's belt?

View solution

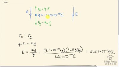
Problem 52

(a) What is the direction and magnitude of an electric field that supports the weight of a free electron near the surface of Earth? (b) Discuss what the small value for this field implies regarding the relative strength of the gravitational and electrostatic forces.

View solution

Problem 53

A simple and common technique for accelerating electrons is shown in Figure 18.55, where there is a uniform electric field between two plates. Electrons are released, usually from a hot filament, near the negative plate, and there is a small hole in the positive plate that allows the electrons to continue moving. (a) Calculate the acceleration of the electron if the field strength is 2.50×104 N/C2.50 \times 10^4 \textrm{ N/C}. (b) Explain why the electron will not be pulled back to the positive plate once it moves through the hole.

View solution

Problem 54

Earth has a net charge that produces an electric field of approximately 150 N/C downward at its surface. (a) What is the magnitude and sign of the excess charge, noting the electric field of a conducting sphere is equivalent to a point charge at its center? (b) What acceleration will the field produce on a free electron near Earth's surface? (c) What mass object with a single extra electron will have its weight supported by this field?

View solution

Problem 55

Point charges of 25.0 μC25.0 \textrm{ }\mu\textrm{C} and 45.0 μC45.0 \textrm{ }\mu\textrm{C} are placed 0.500 m apart. (a) At what point along the line between them is the electric field zero? (b) What is the electric field halfway between them?

View solution

Problem 57

Calculate the angular velocity Ω\Omega of an electron orbiting a proton in the hydrogen atom, given the radius of the orbit is 0.530×1010 m0.530 \times 10^{-10} \textrm{ m}You may assume that the proton is stationary and the centripetal force is supplied by Coulomb attraction.

View solution

Problem 58

An electron has an initial velocity of 5.00×106 m/s5.00\times 10^{6}\textrm{ m/s} in a uniform 2.00×105 N/C2.00\times 10^{5}\textrm{ N/C} strength electric field. The field accelerates the electron in the direction opposite to its initial velocity. (a) What is the direction of the electric field? (b) How far does the electron travel before coming to rest? (c) How long does it take the electron to come to rest? (d) What is the electron's velocity when it returns to its starting point?

View solution

Problem 59

The practical limit to an electric field in air is about 3.00×106 N/C3.00 \times 10^6 \textrm{ N/C}. Above this strength, sparking takes place because air begins to ionize and charges flow, reducing the field. (a) Calculate the distance a free proton must travel in this field to reach 3.00% of the speed of light, starting from rest. (b) Is this practical in air, or must it occur in a vacuum?

View solution

Problem 60

A 5.00 g charged insulating ball hangs on a 30.0 cm long string in a uniform horizontal electric field as shown in Figure 18.56. Given the charge on the ball is 1.00 μC1.00\textrm{ }\mu\textrm{C} , find the strength of the field.

View solution

Problem 61

Figure 18.57 shows an electron passing between two charged metal plates that create an 100 N/C vertical electric field perpendicular to the electron's original horizontal velocity. (These can be used to change the electron's direction, such as in an oscilloscope.) The initial speed of the electron is 3.00×106 m/s3.00 \times 10^6 \textrm{ m/s}, and the horizontal distance it travels in the uniform field is 4.00 cm. (a) What is its vertical deflection? (b) What is the vertical component of its final velocity? (c) At what angle does it exit? Neglect any edge effects.

View solution

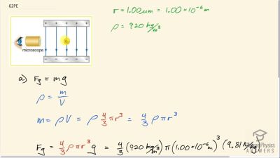
Problem 62

The classic Millikan oil drop experiment was the first to obtain an accurate measurement of the charge on an electron. In it, oil drops were suspended against the gravitational force by a vertical electric field. (See Figure 18.58.) Given the oil drop to be 1.00 μm1.00\textrm{ }\mu\textrm{m} in radius and have a density of 920 kg/m3920\textrm{ kg/m}^3: (a) Find the weight of the drop. (b) If the drop has a single excess electron, find the electric field strength needed to balance its weight.

View solution

Problem 63

(a) In Figure 18.59, four equal charges qq lie on the corners of a square. A fifth charge QQ is on a mass mm directly above the center of the square, at a height equal to the length dd of one side of the square. Determine the magnitude of qq in terms of QQ , mm , and dd , if the Coulomb force is to equal the weight of mm. (b) Is this equilibrium stable or unstable? Discuss.

View solution

Problem 64

(a) Calculate the electric field strength near a 10.0 cm diameter conducting sphere that has 1.00 C of excess charge on it. (b) What is unreasonable about this result? (c) Which assumptions are responsible?

View solution

Problem 65

(a) Two 0.500 g raindrops in a thunderhead are 1.00 cm apart when they each acquire 1.00 mC charges. Find their acceleration. (b) What is unreasonable about this result? (c) Which premise or assumption is responsible?

View solution

Problem 66

A wrecking yard inventor wants to pick up cars by charging a 0.400 m diameter ball and inducing an equal and opposite charge on the car. If a car has a 1000 kg mass and the ball is to be able to lift it from a distance of 1.00 m: (a) What minimum charge must be used? (b) What is the electric field near the surface of the ball? (c) Why are these results unreasonable? (d) Which premise or assumption is responsible?

View solution

Test Prep for AP® Courses

Section 18.1: Static Electricity and Charge: Conservation of Charge

Problem 1 (AP)

When a glass rod is rubbed against silk, which of the following statements is true?
  1. Electrons are removed from the silk.
  2. Electrons are removed from the rod.
  3. Protons are removed from the silk.
  4. Protons are removed from the rod.

View solution

Problem 2 (AP)

In an experiment, three microscopic latex spheres are sprayed into a chamber and become charged with +3e, +5e, and −3e, respectively. Later, all three spheres collide simultaneously and then separate. Which of the following are possible values for the final charges on the spheres? Select two answers.

View solution

Problem 3 (AP)

If objects X and Y attract each other, which of the following will be false?
  1. X has positive charge and Y has negative charge.
  2. X has negative charge and Y has positive charge.
  3. X and Y both have positive charge.
  4. X is neutral and Y has a charge.

View solution

Problem 4 (AP)

Suppose a positively charged object A is brought in contact with an uncharged object B in a closed system. What type of charge will be left on object B?
  1. negative
  2. positive
  3. neutral
  4. cannot be determined

View solution

Problem 5 (AP)

What will be the net charge on an object which attracts neutral pieces of paper but repels a negatively charged balloon?
  1. negative
  2. positive
  3. neutral
  4. cannot be determined

View solution

Problem 6 (AP)

When two neutral objects are rubbed against each other, the first one gains a net charge of 3e. Which of the following statements is true?
  1. The second object gains 3e and is negatively charge
  2. The second object loses 3e and is negatively charge
  3. The second object gains 3e and is positively charge
  4. The second object loses 3e and is positively charged.

View solution

Problem 7 (AP)

In an experiment, a student runs a comb through his hair several times and brings it close to small pieces of paper. Which of the following will he observe?
  1. Pieces of paper repel the comb.
  2. Pieces of paper are attracted to the comb.
  3. Some pieces of paper are attracted and some repel the comb.
  4. There is no attraction or repulsion between the pieces of paper and the comb.

View solution

Problem 8 (AP)

In an experiment a negatively charged balloon (balloon X) is repelled by another charged balloon Y. However, an object Z is attracted to balloon Y. Which of the following can be the charge on Z? Select two answers.
  1. negative
  2. positive
  3. neutral
  4. cannot be determined

View solution

Problem 9 (AP)

Suppose an object has a charge of 1 C and gains 6.88×10186.88 \times 10^{18} electrons.
  1. What will be the net charge of the object?
  2. If the object has gained electrons from a neutral object, what will be the charge on the neutral object?
  3. Find and explain the relationship between the total charges of the two objects before and after the transfer.
  4. When a third object is brought in contact with the first object (after it gains the electrons), the resulting charge on the third object is 0.4 What was its initial charge?

View solution

Problem 10 (AP)

The charges on two identical metal spheres (placed in a closed system) are 2.40×101017 C-2.40\times 10^{10-17}\textrm{ C} and 4.8×1017 C-4.8\times 10^{-17}\textrm{ C}.
  1. How many electrons will be equivalent to the charge on each sphere?
  2. If the two spheres are brought in contact and then separated, find the charge on each sphere.
  3. Calculate the number of electrons that would be equivalent to the resulting charge on each sphere.

View solution

Problem 11 (AP)

In an experiment the following observations are made by a student for four charged objects W, X, Y, and Z.
  • A glass rod rubbed with silk attracts W.
  • W attracts Z and X.
  • X attracts Z but repels Y.
  • Y attracts W and Z.
Estimate whether the charges on each of the four objects are positive, negative, or neutral. Note that this question has been modified slightly since the original version found in the OpenStax text has no possible solution.

View solution

Section 18.2: Conductors and Insulators

Problem 12 (AP)

Some students experimenting with an uncharged metal sphere want to give the sphere a net charge using a charged aluminum pie plate. Which of the following steps would give the sphere a net charge of the same sign as the pie plate?
  1. bringing the pie plate close to, but not touching, the metal sphere, then moving the pie plate away.
  2. bringing the pie plate close to, but not touching, the metal sphere, then momentarily touching a grounding wire to the metal sphere.
  3. bringing the pie plate close to, but not touching, the metal sphere, then momentarily touching a grounding wire to the pie plate.
  4. touching the pie plate to the metal sphere.

View solution

Problem 13 (AP)

When the balloon is brought closer to the sphere, there will be a redistribution of charges. What is this phenomenon called?
  1. electrostatic repulsion
  2. conduction
  3. polarization
  4. none of the above

View solution

Problem 14 (AP)

What will be the charge at Y (i.e., the part of the sphere furthest from the balloon)?
  1. positive
  2. negative
  3. zero
  4. It can be positive or negative depending on the material.

View solution

Problem 15 (AP)

When the balloon is brought closer to the sphere, there will be a redistribution of charges. What will be the net charge on the sphere?
  1. positive
  2. negative
  3. zero
  4. It can be positive or negative depending on the material.

View solution

Problem 16 (AP)

If Y is grounded while the balloon is still close to X, which of the following will be true?
  1. Electrons will flow from the sphere to the ground
  2. Electrons will flow from the ground to the sphere
  3. Protons will flow from the sphere to the ground
  4. Protons will flow from the ground to the sphere.

View solution

Problem 17 (AP)

When the balloon is brought closer to the sphere, there will be a redistribution of charges. If the balloon is moved away after grounding, what will be the net charge on the sphere?
  1. positive
  2. negative
  3. zero
  4. It can be positive or negative depending on the material.

View solution

Problem 18 (AP)

A positively charged rod is used to charge a sphere by induction. Which of the following is true?
  1. The sphere must be a conductor.
  2. The sphere must be an insulator.
  3. The sphere can be a conductor or insulator but must be connected to ground.
  4. The sphere can be a conductor or insulator but must be already charged.

View solution

Problem 19 (AP)

As shown in the figure below, two metal balls are suspended and a negatively charged rod is brought close to them.
  1. If the two balls are in contact with each other what will be the charges on each ball?
  2. Explain how the balls get these charges.
  3. What will happen to the charge on the second ball (i.e., the ball further away from the rod) if it is momentarily grounded while the rod is still there?
  4. If (instead of grounding) the second ball is moved away and then the rod is removed from the first ball, will the two balls have induced charges? If yes, what will be the charges? If no, why not?

View solution

Problem 20 (AP)

Two experiments are performed using positively charged glass rods and neutral electroscopes. In the first experiment the rod is brought in contact with the electroscope. In the second experiment the rod is only brought close to the electroscope but not in contact. However, while the rod is close, the electroscope is momentarily grounded and then the rod is removed. In both experiments the needles of the electroscopes deflect, which indicates the presence of charges.
  1. What is the charging method in each of the two experiments?
  2. What is the net charge on the electroscope in the first experiment? Explain how the electroscope obtains that charge.
  3. Is the net charge on the electroscope in the second experiment different from that of the first experiment? Explain why.

View solution

Section 18.3: Conductors and Electric Fields in Static Equilibrium

Problem 21 (AP)

An electric field due to a positively charged spherical conductor is shown abovWhere will the electric field be weakest?
  1. Point A
  2. Point B
  3. Point C
  4. Same at all points

View solution

Problem 22 (AP)

The electric field created by two parallel metal plates is shown above. Where will the electric field be strongest?
  1. Point A
  2. Point B
  3. Point C
  4. Same at all points

View solution

Problem 23 (AP)

Suppose that the electric field experienced due to a positively charged small spherical conductor at a certain distance is E. What will be the percentage change in electric field experienced at thrice the distance if the charge on the conductor is doubled?

View solution

Problem 24 (AP)

The classic Millikan oil drop experiment setup is shown below. In this experiment oil drops are suspended in a vertical electric field against the gravitational force to measure their charge. If the mass of a negatively charged drop suspended in an electric field of 1.18×104 N/C1.18\times 10^{-4}\textrm{ N/C} strength is 3.85×1021 g3.85\times 10^{-21}\textrm{ g}, find the number of excess electrons in the drop.

View solution

Section 18.4: Coulomb's Law

Problem 25 (AP)

For questions 25–27, suppose that the electrostatics force between two charges is F. What will be the force if the distance between them is halved?
  1. 4F
  2. 2F
  3. F/4
  4. F/2

View solution

Problem 26 (AP)

Which of the following is false?
  1. If the charge of one of the particles is doubled and that of the second is unchanged, the force will become 2F.
  2. If the charge of one of the particles is doubled and that of the second is halved, the force will remain F.
  3. If the charge of both the particles is doubled, the force will become 4F.
  4. None of the above.

View solution

Problem 27 (AP)

Suppose that the electrostatics force between two charges is FF. Which of the following is true about the gravitational force between the particles?
  1. It will be 3.25×1038F3.25 \times 10^{−38} F.
  2. It will be 3.25×1038F3.25 \times 10^{38} F.
  3. It will be equal to FF.
  4. It is not possible to determine the gravitational force as the masses of the particles are not given.

View solution

Problem 28 (AP)

Two massive, positively charged particles are initially held a fixed distance apart. When they are moved farther apart, the magnitude of their mutual gravitational force changes by a factor of n. Which of the following indicates the factor by which the magnitude of their mutual electrostatic force changes?
  1. 1n2\dfrac{1}{n^2}
  2. 1n\dfrac{1}{n}
  3. nn
  4. n2n^2

View solution

Problem 29 (AP)

  1. What is the electrostatic force between two charges of 1 C each, separated by a distance of 0.5 m?
  2. How will this force change if the distance is increased to 1 m?

View solution

Problem 30 (AP)

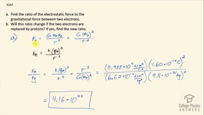
  1. Find the ratio of the electrostatic force to the gravitational force between two electrons.
  2. Will this ratio change if the two electrons are replaced by protons? If yes, find the new ratio.

View solution

Section 18.5: Electric Field: Concept of a Field Revisited

Problem 31 (AP)

Two particles with charges +2q and +q are separated by a distance r. The +2q particle has an electric field E at distance r and exerts a force F on the +q particle. What is the electric field of the +q particle at the same distance and what force does it exert on the +2q particle?
  1. E/2, F/2
  2. E, F/2
  3. E/2, F
  4. E,F

View solution

Problem 32 (AP)

Two particles with charges +2q and +q are separated by a distance r. The +2q particle has an electric field E at distance r and exerts a force F on the +q particle. When the +q particle is replaced by a +3q particle, what will be the electric field and force from the +2q particle experienced by the +3q particle?
  1. E/3, 3F
  2. E, 3F
  3. E/3, F
  4. E,F

View solution

Problem 33 (AP)

The direction of the electric field of a negative charge is
  1. inward for both positive and negative charges.
  2. outward for both positive and negative charges.
  3. inward for other positive charges and outward for other negative charges.
  4. outward for other positive charges and inward for other negative charges.

View solution

Problem 35 (AP)

When a positively charged particle exerts an inward force on another particle P, what will be the charge of P?
  1. positive
  2. negative
  3. neutral
  4. cannot be determined

View solution

Problem 36 (AP)

Find the force exerted due to a particle having a charge of 3.2×1019 C3.2\times 10^{-19}\textrm{ C} on another identical particle 5 cm away.

View solution

Problem 37 (AP)

Suppose that the force exerted on an electron is 5.6×1017 N5.6 \times 10^{−17} \textrm{ N}, directed to the east.
  1. Find the magnitude of the electric field that exerts the force.
  2. What will be the direction of the electric field?
  3. If the electron is replaced by a proton, what will be the magnitude of force exerted?
  4. What will be the direction of force on the proton?

View solution

Section 18.6: Electric Field Lines: Multiple Charges

Problem 38 (AP)

Figure 18.65 An electric dipole (with +2q and –2q as the two charges) is shown in the figure below. A third charge, −q is placed equidistant from the dipole charges. What will be the direction of the net force on the third charge?
  1. \rightarrow
  2. \leftarrow
  3. \downarrow
  4. \uparrow

View solution

Problem 39 (AP)

Four objects, each with charge +q, are held fixed on a square with sides of length d, as shown in Figure 18.66. Objects X and Z are at the midpoints of the sides of the square. The electrostatic force exerted by object W on object X is F. What is the magnitude of force exerted by object W on Z?
  1. F/7
  2. F/5
  3. F/3
  4. F/2

View solution

Problem 41 (AP)

Figure 18.67 below represents the electric field in the vicinity of three small charged objects, R, S, and T. The objects have charges −q, +2q, and −q, respectively, and are located on the x-axis at −d, 0, and d. Field vectors of very large magnitude are omitted for clarity.
    1. Briefly describe the characteristics of the field diagram that indicate that the sign of the charges of objects R and T is negative and that the sign of the charge of object S is positive.
    2. Briefly describe the characteristics of the field diagram that indicate that the magnitudes of the charges of objects R and T are equal and that the magnitude of the charge of object S is about twice that of objects R and T.
For the following parts, an electric field directed to the right is defined to be positive.
  1. On the axes below in Figure 18.68, sketch a graph of the electric field E along the x-axis as a function of position x.
  2. Write an expression for the electric field E along the x-axis as a function of position x in the region between objects S and T in terms of q, d, and fundamental constants, as appropriate.
  3. Your classmate tells you there is a point between S and T where the electric field is zero. Determine whether this statement is true, and explain your reasoning using two of the representations from parts (a), (b), or (c).

View solution