Question
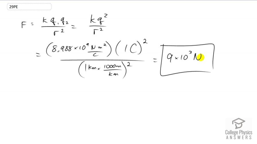
If two equal charges each of 1 C each are separated in air by a distance of 1 km, what is the magnitude of the force acting between them? You will see that even at a distance as large as 1 km, the repulsive force is substantial because 1 C is a very significant amount of charge.
Final Answer
Solution video
OpenStax College Physics for AP® Courses, Chapter 18, Problem 29 (Problems & Exercises)

vote with a rating of
votes with an average rating of
.
Calculator Screenshots
Video Transcript
This is College Physics Answers with Shaun Dychko. Two charges of one Coulomb each separated by kilometer will have a force of nine times ten to the three newtons of repulsive force between them. And so we have Coulombs Constant times one Coulomb times it selves. Again because each charge is the same, both one Coulomb. And divided by one kilometer converted into meters by multiplying by 1000 meters per kilometer and we square that denominator. We end up with nine times ten to the three.