Question
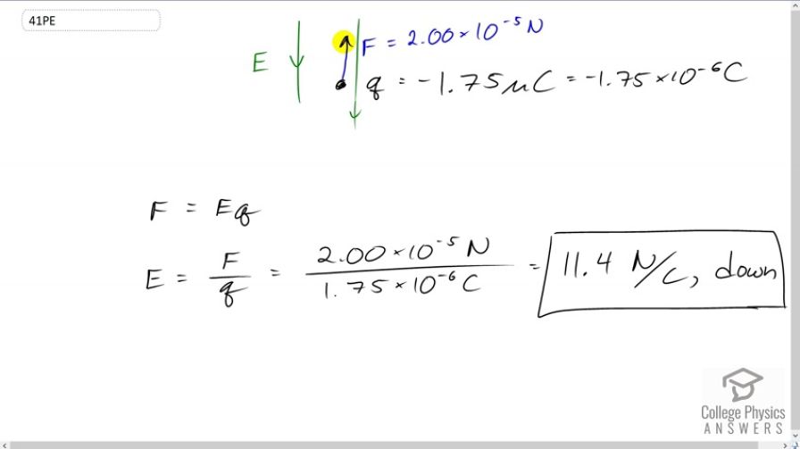
What is the magnitude and direction of an electric field that exerts a upward force on a charge?
Final Answer
Solution video
OpenStax College Physics for AP® Courses, Chapter 18, Problem 41 (Problems & Exercises)

vote with a rating of
votes with an average rating of
.
Calculator Screenshots
Video Transcript
This is College Physics Answers with Shaun Dychko. What electric field do we need such that there is a 2.00 times ten to the minus five Newton force upwards on a charge of negative 1.75 micro Coulombs. Well to have a force upwards on a negative charge, there needs to be an electric fields downwards. So already we have figured that part of the direction. And to figure out the magnitude of the electric field, we know that the electrostatic force is going to be the electric field multiplied by the charge. And then we can solve for the electric field by dividing both sides by q. And so the electric field is force divided by q. So that's two times ten to the minus five newtons divided by 1.75 times ten to the minus six Coulombs giving us an electric field of 11.4 newtons per Coulomb and that is downwards.