Question
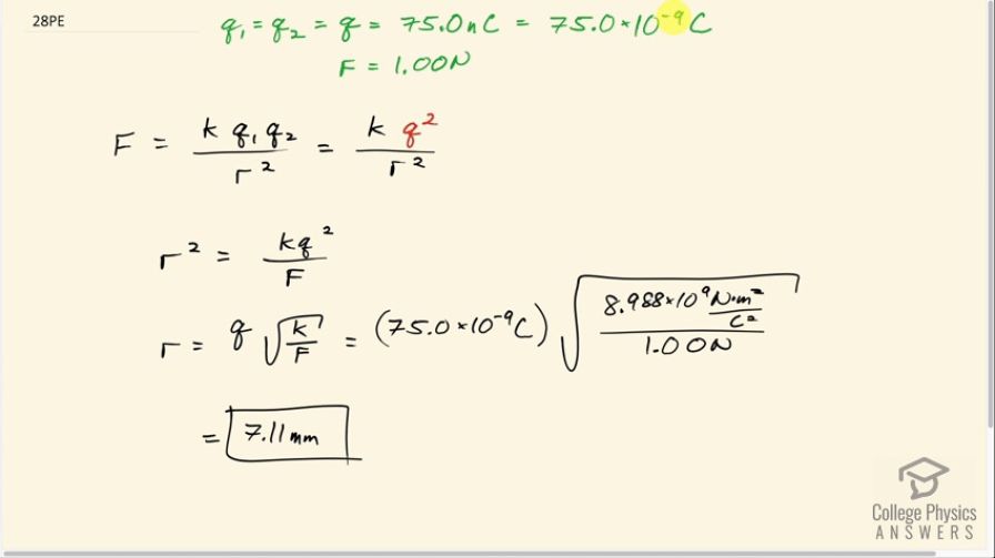
How far apart must two point charges of 75.0 nC (typical of static electricity) be to have a force of 1.00 N between them?
Final Answer
Solution video
OpenStax College Physics for AP® Courses, Chapter 18, Problem 28 (Problems & Exercises)

vote with a rating of
votes with an average rating of
.
Calculator Screenshots
Video Transcript
This is College Physics Answers with Shaun Dychko. Two point charges are 75.0 nanocoulombs, which is 75.0 times 10 to the minus 9 coulombs and the force between them is 1.00 newtons and the question is how far apart are they? So the force between them is Coulomb's constant times the product of the two charges divided by the distance between them squared. But each charge is the same so there's no need for a subscript so we will just call each of them q and that means multiplying them together makes q squared. So we have to solve this for r squared first of all so we multiply both sides by r squared and then divide both sides by F and now we have r squared is kq squared over F and then take the square root of both sides to solve for r. So the square root of q squared is q and we are multiplying that by the square root of k over F. So that's 75.0 times 10 to the minus 9 coulombs times the square root of Coulomb's constant divided by the force between the charges and this works out to 7.11 millimeters must be the separation between them.