Question
What mass is converted into energy by a 1.00-MT bomb?
Final Answer
Solution video
OpenStax College Physics, Chapter 32, Problem 52 (Problems & Exercises)

vote with a rating of
votes with an average rating of
.
Calculator Screenshots
Video Transcript
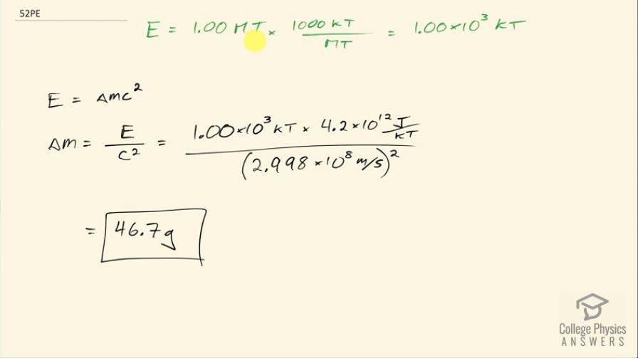
This is College Physics Answers with Shaun Dychko. How much mass is converted into energy through the explosion of a 1.00 megaton bomb? We will convert megatons into kilotons by multiplying by 1000 kilotons for every megaton because we have a conversion factor from kilotons to joules in the appendix of our textbook... we have 1 kiloton is equal to 4.2 times 10 to the 12 joules. So we multiply 1.00 times 10 to the 3 kilotons by 4.2 times 10 to the 12 joules per kiloton and then divide by the speed of light squared after we rearrange this E equals mc squared formula to solve for mass and we end up with 46.7 grams of mass was converted into energy.