Question
Confirm that each of the reactions listed for plutonium breeding just following Example 32.4 conserves the total number of nucleons, the total charge, and electron family number.
Final Answer
Please see the solution video.
Solution video
OpenStax College Physics, Chapter 32, Problem 46 (Problems & Exercises)

vote with a rating of
votes with an average rating of
.
Video Transcript
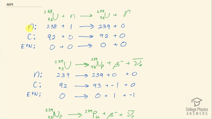
This is College Physics Answers with Shaun Dychko. We are going to check that each of the reactions in plutonium breeding obey all the conservation laws such as number of nucleons has to be conserved, the charge on each side of the reaction has to be conserved and the electron family number is the same in total on both sides. So uranium-238 has 238 nucleons plus 1 nucleon in this neutron for a total of 239 on the left and on the right hand side, we have 239 in this uranium-239 product of this reaction so that checks out total of 239 nucleons on both sides. There are 92 protons in this uranium and zero charge on the neutron and there are 92 protons in the uranium on the right hand side and zero charge in the gamma ray photon so it's 92 on both sides so that checks out and none of these particles have an electron family number so it's 0 on both sides. And then the next step, we have uranium-239 spontaneously decaying into neptunium-239 and a beta particle and an electron anti-neutrino. So we have 239 nucleons in uranium-239 and 239 nucleons in neptunium-239 as well and then there's zero in the beta particle and then zero nucleons in the electron anti-neutrino so 239 total on both sides so that checks out. For the charge, we have 92 in the uranium and 93 in the neptunium and negative 1 in the electron and so that makes a total of 92 on both sides and the electron family number is 0 on the left and on the right hand side, it's positive 1 for the beta particle and then negative one for the electron anti-neutrino and that totals zero as well. And lastly, we have neptunium turning into plutonium-239 and a beta particle and an electron anti-neutrino. So we have 239 nucleons on both sides, 0 nucleons in the beta particle, 0 nucleons in the electron anti-neutrino and the charge is 93 protons on the neptunium on the left side and the plutonium has a charge of 94 its atomic number is 94... there's 94 protons and that's compensated for by a negative 1 charge in this electron that's produced for a total of 93 on the right as well. There's 0 electron family number on the left and then 0 electron family number on the right in the plutonium positive 1 in the electron and negative 1 in the electron anti-neutrino for a total of 0 on the right.