Chapter 32

Chapter thumbnail
Tori Randall, Ph.D., curator for the Department of Physical Anthropology at the San Diego Museum of Man, prepares a 550-year-old Peruvian child mummy for a CT scan at Naval Medical Center San Diego.

Chapter 32 : Medical Application of Nuclear Physics - all with Video Solutions

Problems & Exercises

Section 32.1: Diagnostics and Medical Imaging

Problem 1

A neutron generator uses an α\alpha source, such as radium, to bombard beryllium, inducing the reaction 4He+9Be12C+n^4\textrm{He}+{}^9\textrm{Be} \to {}^{12}\mathrm{C} + n. Such neutron sources are called RaBe sources, or PuBe sources if they use plutonium to get the α\alphas. Calculate the energy output of the reaction in MeV.

View solution

Problem 2

Neutrons from a source (perhaps the one discussed in the x-ray series) bombard natural molybdenum, which is 24 percent 98Mo{}^{98}\textrm{Mo}. What is the energy output of the reaction 98Mo+n99Mo+γ{}^{98}\textrm{Mo} + n \rightarrow {}^{99}\textrm{Mo} + \gamma? The mass of 98Mo{}^{98}\textrm{Mo} is given in Appendix A: Atomic Masses, and that of 99Mo{}^{99}\textrm{Mo} is 98.907711 u.

View solution

Problem 3

The purpose of producing 99Mo{}^{99}\textrm{Mo} (usually by neutron activation of natural molybdenum, as in the preceding problem) is to produce 99mTc{}^{99\textrm{m}}\textrm{Tc}. Using the rules, verify that the β\beta^- decay of 99Mo{}^{99}\textrm{Mo} produces 99mTc{}^{99\textrm{m}}\textrm{Tc}. (Most 99mTc{}^{99\textrm{m}}\textrm{Tc} nuclei produced in this decay are left in a metastable excited state denoted 99mTc{}^{99\textrm{m}}\textrm{Tc} .)

View solution

Problem 4

(a) Two annihilation γ\gamma rays in a PET scan originate at the same point and travel to detectors on either side of the patient. If the point of origin is 9.00 cm closer to one of the detectors, what is the difference in arrival times of the photons? (This could be used to give position information, but the time difference is small enough to make it difficult.) (b) How accurately would you need to be able to measure arrival time differences to get a position resolution of 1.00 mm?

View solution

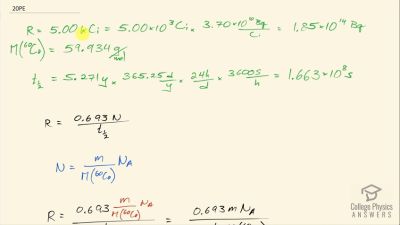
Problem 5

Table 32.1 indicates that 7.50 mCi of 99mTc{}^{99\textrm{m}}\textrm{Tc} is used in a brain scan. What is the mass of technetium?

View solution

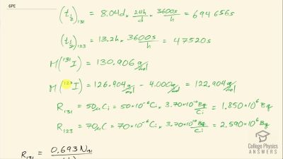
Problem 6

The activities of 131I{}^{131}\textrm{I} and 123I{}^{123}\textrm{I} used in thyroid scans are given in Table 32.1 to be 50 μCi50\textrm{ }\mu\textrm{Ci} and 70 μCi70\textrm{ }\mu\textrm{Ci} , respectively. Find and compare the masses of 131 I and 123 I in such scans, given their respective half-lives are 8.04 d and 13.2 h. The masses are so small that the radioiodine is usually mixed with stable iodine as a carrier to ensure normal chemistry and distribution in the body.

View solution

Problem 7

(a) Neutron activation of sodium, which is 100% 23Na{}^{23}\textrm{Na}, produces 24Na{}^{24}\textrm{Na}, which is used in some heart scans, as seen in Table 32.1. The equation for the reaction is 23Na+n24Na+γ{}^{23}\textrm{Na} + n \to {}^{24}\textrm{Na} + \gamma. Find its energy output, given the mass of 24Na{}^{24}\textrm{Na} is 23.990962 u.

View solution

Section 32.2: Biological Effects of Ionizing Radiation

Problem 8

What is the dose in mSv for: (a) a 0.1 Gy x-ray? (b) 2.5 mGy of neutron exposure to the eye? (c) 1.5 mGy of α\alpha exposure?

View solution

Problem 9

Find the radiation dose in Gy for: (a) A 10-mSv fluoroscopic x-ray series. (b) 50 mSv of skin exposure by an α\alpha emitter. (c) 160 mSv of β\beta^- and γ\gamma rays from the 40K{}^{40}\textrm{K} in your body.

View solution

Problem 12

One half the γ\gamma rays from 99mTc{}^{99\textrm{m}}\textrm{Tc} are absorbed by a 0.170-mm-thick lead shielding. Half of the γ\gamma rays that pass through the first layer of lead are absorbed in a second layer of equal thickness. What thickness of lead will absorb all but one in 1000 of these γ\gamma rays?

View solution

Problem 13

A plumber at a nuclear power plant receives a whole-body dose of 30 mSv in 15 minutes while repairing a crucial valve. Find the radiation-induced yearly risk of death from cancer and the chance of genetic defect from this maximum allowable exposure.

View solution

Problem 14

In the 1980s, the term picowave was used to describe food irradiation in order to overcome public resistance by playing on the well-known safety of microwave radiation. Find the energy in MeV of a photon having a wavelength of a picometer.

View solution

Section 32.3: Therapeutic Uses of Ionizing Radiation

Problem 16

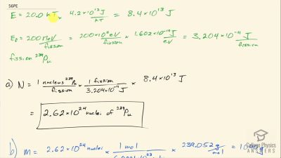
A beam of 168-MeV nitrogen nuclei is used for cancer therapy. If this beam is directed onto a 0.200-kg tumor and gives it a 2.00-Sv dose, how many nitrogen nuclei were stopped? (Use an RBE of 20 for heavy ions.)

View solution

Problem 17

(a) If the average molecular mass of compounds in food is 50.0 g, how many molecules are there in 1.00 kg of food? (b) How many ion pairs are created in 1.00 kg of food, if it is exposed to 1000 Sv and it takes 32.0 eV to create an ion pair? (c) Find the ratio of ion pairs to molecules. (d) If these ion pairs recombine into a distribution of 2000 new compounds, how many parts per billion is each?

View solution

Problem 18

Calculate the dose in Sv to the chest of a patient given an x-ray under the following conditions. The x-ray beam intensity is 1.50×10 W/m21.50\times 10 \textrm{ W/m}^2, the area of the chest exposed is 0.0750 m20.0750\textrm{ m}^2 , 35.0% of the x-rays are absorbed in 20.0 kg of tissue, and the exposure time is 0.250 s.

View solution

Problem 19

(a) A cancer patient is exposed to γ rays from a 5000-Ci 60Co{}^{60}\textrm{Co} transillumination unit for 32.0 s. The γ\gamma rays are collimated in such a manner that only 1.00% of them strike the patient. Of those, 20.0% are absorbed in a tumor having a mass of 1.50 kg. What is the dose in rem to the tumor, if the average γ\gamma energy per decay is 1.25 MeV? None of the β\betas from the decay reach the patient. (b) Is the dose consistent with stated therapeutic doses?

View solution

Problem 20

What is the mass of 60Co{}^{60}\textrm{Co} in a cancer therapy transillumination unit containing 5.00 kCi of 60Co{}^{60}\textrm{Co}

View solution

Problem 21

Large amounts of 65Zn{}^{65}\textrm{Zn} are produced in copper exposed to accelerator beams. While machining contaminated copper, a physicist ingests 50 μCi50 \textrm{ }\mu\textrm{Ci} of 65Zn{}^{65}\textrm{Zn}. Each 65Zn{}^{65}\textrm{Zn} decay emits an average γ\gamma-ray energy of 0.550 MeV0.550 \textrm{ MeV}, 40.0% of which is absorbed in the scientist's 75.0 kg body. What dose in mSv is caused by this in one day?

View solution

Problem 22

Naturally occurring 40K{}^{40}\textrm{K} is listed as responsible for 16 mrem/y of background radiation. Calculate the mass of 40K{}^{40}\textrm{K} that must be inside the 55-kg body of a woman to produce this dose. Each 40K{}^{40}\textrm{K} decay emits a 1.32-MeV β\beta , and 50% of the energy is absorbed inside the body.

View solution

Problem 23

(a) Background radiation due to 226Ra{}^{226}\textrm{Ra} averages only 0.01 mSv/y, but it can range upward depending on where a person lives. Find the mass of 226Ra{}^{226}\textrm{Ra} in the 80.0-kg body of a man who receives a dose of 2.50-mSv/y from it, noting that each 226Ra{}^{226}\textrm{Ra} decay emits a 4.80-MeV α\alpha particle. You may neglect dose due to daughters and assume a constant amount, evenly distributed due to balanced ingestion and bodily elimination. (b) Is it surprising that such a small mass could cause a measurable radiation dose? Explain.

View solution

Problem 24

The annual radiation dose from 14C{}^{14}\textrm{C} in our bodies is 0.01 mSv/y. Each 14C{}^{14}\textrm{C} decay emits a β\beta^- averaging 0.0750 MeV. Taking the fraction of 14C{}^{14}\textrm{C} to be 1.3×10121.3\times 10^{-12} of normal 12C{}^{12}\textrm{C}, and assuming the body is 13% carbon, estimate the fraction of the decay energy absorbed. (The rest escapes, exposing those close to you.)

View solution

Problem 25

If everyone in Australia received an extra 0.05 mSv per year of radiation, what would be the increase in the number of cancer deaths per year? (Assume that time had elapsed for the effects to become apparent.) Assume that there are 200×104200\times 10^{-4} deaths per Sv of radiation per year. What percent of the actual number of cancer deaths recorded is this?

View solution

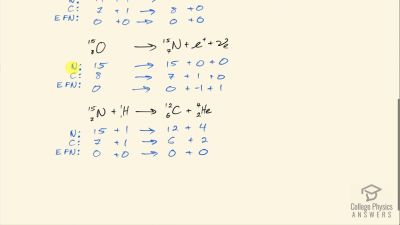
Section 32.5: Fusion

Problem 26

Verify that the total number of nucleons, total charge, and electron family number are conserved for each of the fusion reactions in the proton-proton cycle in

1H+1H2H+e++νe{}^1\textrm{H}+ {}^1\textrm{H} \rightarrow {}^2\textrm{H} + e^+ + \nu_e

1H+2H3He+γ{}^1\textrm{H} + {}^2\textrm{H} \rightarrow {}^3\textrm{He} + \gamma

3He+3He4He+1H+1H{}^3\textrm{He} + {}^3\textrm{He} \rightarrow {}^4\textrm{He} + {}^1\textrm{H} + {}^1\textrm{H}

View solution

Problem 27

Calculate the energy output in each of the fusion reactions in the proton-proton cycle, and verify the values given in the above summary.

View solution

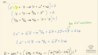
Problem 28

Show that the total energy released in the proton-proton cycle is 26.7 MeV, considering the overall effect in

1H+1H2H+e++νe{}^1\textrm{H}+ {}^1\textrm{H} \rightarrow {}^2\textrm{H} + e^+ + \nu_e

1H+2H3He+γ{}^1\textrm{H} + {}^2\textrm{H} \rightarrow {}^3\textrm{He} + \gamma

3He+3He4He+1H+1H{}^3\textrm{He} + {}^3\textrm{He} \rightarrow {}^4\textrm{He} + {}^1\textrm{H} + {}^1\textrm{H}

and being certain to include the annihilation energy.

View solution

Problem 29

Verify by listing the number of nucleons, total charge, and electron family number before and after the cycle that these quantities are conserved in the overall proton-proton cycle in 2e+41H4He+2νe+6γ2e^- + 4{}^{1}\textrm{H} \to {}^{4}\textrm{He} + 2\nu_e + 6\gamma.

View solution

Problem 31

Tritium is naturally rare, but can be produced by the reaction n+2H3H+γn + {}^{2}\textrm{H} \to {}^{3}\textrm{H} + \gamma. How much energy in MeV is released in this neutron capture?

View solution

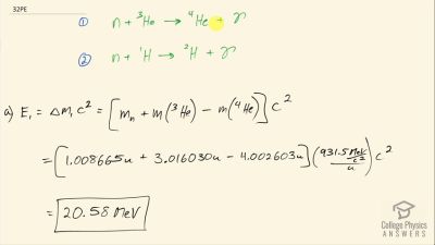
Problem 32

Two fusion reactions mentioned in the text are

n+3He4He+γn + {}^3\textrm{He} \rightarrow {}^4\textrm{He} + \gamma

and

n+1H2H+γn + {}^1\textrm{H} \rightarrow {}^2\textrm{H} + \gamma

Both reactions release energy, but the second also creates more fuel. Confirm that the energies produced in the reactions are 20.58 and 2.22 MeV, respectively. Comment on which product nuclide is most tightly bound, 4He{}^4\textrm{He} or 2H{}^2\textrm{H}

View solution

Problem 33

(a) Calculate the number of grams of deuterium in an 80,000-L swimming pool, given deuterium is 0.0150% of natural hydrogen. (b) Find the energy released in joules if this deuterium is fused via the reaction 2H+2H3He+n{}^{2}\textrm{H} + {}^{2}\textrm{H} \to {}^{3}\textrm{He} + n. (c) Could the neutrons be used to create more energy? (d) Discuss the amount of this type of energy in a swimming pool as compared to that in, say, a gallon of gasoline, also taking into consideration that water is far more abundant.

View solution

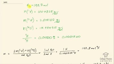
Problem 34

How many kilograms of water are needed to obtain the 198.8 mol of deuterium, assuming that deuterium is 0.01500% (by number) of natural hydrogen?

View solution

Problem 35

The power output of the Sun is 4×1026 W4\times 10^{26}\textrm{ W}. (a) If 90% of this is supplied by the proton-proton cycle, how many protons are consumed per second? (b) How many neutrinos per second should there be per square meter at the Earth from this process? This huge number is indicative of how rarely a neutrino interacts, since large detectors observe very few per day.

View solution

Problem 36

Another set of reactions that result in the fusing of hydrogen into helium in the Sun and especially in hotter stars is called the carbon cycle. It is

12C+1H13N+γ{}^{12}\textrm{C} + {}^1\textrm{H} \rightarrow {}^{13}\textrm{N} + \gamma

13N13C+e++νe{}^{13}\textrm{N} \rightarrow {}^{13}\textrm{C}+e^+ + \nu_e

13C+1H14N+γ{}^{13}\textrm{C} + {}^1\textrm{H} \rightarrow {}^{14}\textrm{N} + \gamma

14N+1H15O+γ{}^{14}\textrm{N} + {}^1\textrm{H} \rightarrow {}^{15}\textrm{O} + \gamma

15O15N+e++νe{}^{15}\textrm{O} \rightarrow {}^{15}\textrm{N} + e^+ + \nu_e

15N+1H12C+4He{}^{15}\textrm{N} + {}^1\textrm{H} \rightarrow {}^{12}\textrm{C} + {}^4\textrm{He}

Write down the overall effect of hte carbon cycle (as was done for the proton-proton cycle in 2e+41H4He+2νe+6γ2e^- + 4{}^1\textrm{H} \rightarrow {}^4\textrm{He} + 2\nu_e + 6\gamma). Note the number of protons (1H{}^1\textrm{H}) required and assume that the positrons (e+e^+) annihilate electrons to form more γ\gamma rays.

View solution

Problem 37

(a) Find the total energy released in MeV in each carbon cycle (elaborated below) including the annihilation energy. (b) How does this compare with the proton-proton cycle output?

View solution

Problem 38

Verify that the total number of nucleons, total charge, and electron family number are conserved for each of the fusion reactions in the carbon cycle given in the above problem. (List the value of each of the conserved quantities before and after each of the reactions.)

View solution

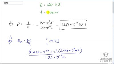
Problem 39

The laser system tested for inertial confinement can produce a 100-kJ pulse only 1.00 ns in duration. (a) What is the power output of the laser system during the brief pulse? (b) How many photons are in the pulse, given their wavelength is 1.06 μm? (c) What is the total momentum of all these photons? (d) How does the total photon momentum compare with that of a single 1.00 MeV deuterium nucleus?

View solution

Problem 40

Find the amount of energy given to the 4He{}^4\textrm{He} nucleus and to the γ\gamma ray in the reaction n+3He4He+γn + {}^3\textrm{He} \rightarrow {}^4\textrm{He} + \gamma , using the conservation of momentum principle and taking the reactants to be initially at rest. This should confirm the contention that most of the energy goes to the γ\gamma ray.

View solution

Problem 41

(a) What temperature gas would have atoms moving fast enough to bring two 3He{}^{3}\textrm{He} nuclei into contact? Note that, because both are moving, the average kinetic energy only needs to be half the electric potential energy of these doubly charged nuclei when just in contact with one another. (b) Does this high temperature imply practical difficulties for doing this in controlled fusion?

View solution

Problem 42

(a) Estimate the years that the deuterium fuel in the oceans could supply the energy needs of the world. Assume world energy consumption to be ten times that of the United States which is 8×1019 J/y8\times 10^{19}\textrm{ J/y} and that the deuterium in the oceans could be converted to energy with an efficiency of 32%. You must estimate or look up the amount of water in the oceans and take the deuterium content to be 0.015% of natural hydrogen to find the mass of deuterium available. Note that approximate energy yield of deuterium is 3.37×1014 J/kg3.37\times 10^{14}\textrm{ J/kg}. (b) Comment on how much time this is by any human measure. (It is not an unreasonable result, only an impressive one.)

View solution

Section 32.6: Fission

Problem 43

(a) Calculate the energy released in the neutron-induced fission (similar to the spontaneous fission in Example 32.3 where
n+238U96Sr+140Xe+3nn + {}^{238}\textrm{U} \to {}^{96}\textrm{Sr} + {}^{140}\textrm{Xe} + 3n
given that m(96Sr=95.921750 um({}^{96}\textrm{Sr} = 95.921750 \textrm{ u} and m(140Xe=139.92164 um({}^{140}\textrm{Xe} = 139.92164 \textrm{ u}. (b) This result is about 6 MeV greater than the result for spontaneous fission. Why? (c) Confirm that the total number of nucleons and total charge are conserved in this reaction.

View solution

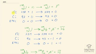
Problem 44

(a) Calculate the energy released in the neutron-induced fission reaction n+235U92Kr+142Ba+2nn + {}^{235}\textrm{U} \rightarrow {}^{92}\textrm{Kr} + {}^{142}\textrm{Ba} + 2n given m(92Kr)=91.926269 um({}^{92}\textrm{Kr}) = 91.926269\textrm{ u} and m(142Ba)=141.916361 um({}^{142}\textrm{Ba}) = 141.916361\textrm{ u}. (b) Confirm that the total number of nucleons and total charge are conserved in this reaction.

View solution

Problem 45

(a) Calculate the energy released in the neutron-induced fission reaction
n+239Pu96Sr+140Ba+4nn + {}^{239}\textrm{Pu} \to {}^{96}\textrm{Sr} + {}^{140}\textrm{Ba} + 4n
given that m(96Sr=95.921750 um({}^{96}\textrm{Sr} = 95.921750 \textrm{ u} and m(140Ba=139.910581 um({}^{140}\textrm{Ba} = 139.910581 \textrm{ u}. (b) Confirm that the total number of nucleons and total charge are conserved in this reaction.

View solution

Problem 47

Breeding plutonium produces energy even before any plutonium is fissioned. (The primary purpose of the four nuclear reactors at Chernobyl was breeding plutonium for weapons. Electrical power was a by-product used by the civilian population.) Calculate the energy produced in each of the reactions listed for plutonium breeding just following Example 32.4. The pertinent masses are m(239U)=239.054289 um({}^{239}\textrm{U}) = 239.054289 \textrm{ u}, m(239Np)=239.052932 um({}^{239}\textrm{Np}) = 239.052932 \textrm{ u}, and m(239Pu)=239.052157 um({}^{239}\textrm{Pu}) = 239.052157 \textrm{ u}.

View solution

Problem 48

The naturally occurring radioactive isotope 232Th{}^{232}\textrm{Th} does not make good fission fuel, because it has an even number of neutrons; however, it can be bred into a suitable fuel (much as 238U{}^{238}\textrm{U} is bred into 239Pu{}^{239}\textrm{Pu}).
  1. What are ZZ and NN for 232T{}^{232}\textrm{T}
  2. Write the reaction equation for neutron capture by 232Th{}^{232}\textrm{Th} and identify the nuclide AX{}^\textrm{A}\textrm{X} produced in n+232ThAX+γn + {}^{232}\textrm{Th} \rightarrow {}^\textrm{A}\textrm{X} + \gamma.
  3. The product nucleus β\beta^- decays, as does its daughter. Write the decay equations for each, and identify the final nucleus.
  4. Confirm that the final nucleus has an odd number of neutrons, making it a better fission fuel.
  5. Look up the half-life of the final nucleus to see if it lives long enough to be a useful fuel.

View solution

Problem 49

The electrical power output of a large nuclear reactor facility is 900 MW. It has a 35.0% efficiency in converting nuclear power to electrical. (a) What is the thermal nuclear power output in megawatts? (b) How many 235U{}^{235}\textrm{U} nuclei fission each second, assuming the average fission produces 200 MeV? (c) What mass of 235U{}^{235}\textrm{U} is fissioned in one year of full-power operation?

View solution

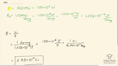
Problem 50

A large power reactor that has been in operation for some months is turned off, but residual activity in the core still produces 150 MW of power. If the average energy per decay of the fission products is 1.00 MeV, what is the core activity in curies?

View solution

Section 32.7: Nuclear Weapons

Problem 53

Fusion bombs use neutrons from their fission trigger to create tritium fuel in the reaction n+6Li3H+4Hen + {}^{6}\textrm{Li} \to {}^{3}\textrm{H} + {}^{4}\textrm{He}. What is the energy released by this reaction in MeV?

View solution

Problem 54

It is estimated that the total explosive yield of all the nuclear bombs in existence currently is about 4,000 MT. (a) Convert this amount of energy to kilowatt-hours, noting that 1 kWh=3.60×106 J1 \textrm{ kW}\cdot\textrm{h} = 3.60\times 10^{6}\textrm{ J}. (b) What would the monetary value of this energy be if it could be converted to electricity costing 10 cents per kWh\textrm{kW}\cdot\textrm{h}?

View solution

Problem 55

A radiation-enhanced nuclear weapon (or neutron bomb) can have a smaller total yield and still produce more prompt radiation than a conventional nuclear bomb. This allows the use of neutron bombs to kill nearby advancing enemy forces with radiation without blowing up your own forces with the blast. For a 0.500-kT radiation-enhanced weapon and a 1.00-kT conventional nuclear bomb: (a) Compare the blast yields. (b) Compare the prompt radiation yields.

View solution

Problem 56

(a) How many 239Pu{}^{239}\textrm{Pu} nuclei must fission to produce a 20.0-kT yield, assuming 200 MeV per fission? (b) What is the mass of this much 239Pu{}^{239}\textrm{Pu}?

View solution

Problem 57

Assume one-fourth of the yield of a typical 320-kT strategic bomb comes from fission reactions averaging 200 MeV and the remainder from fusion reactions averaging 20 MeV.
  1. Calculate the number of fissions and the approximate mass of uranium and plutonium fissioned, taking the average atomic mass to be 238.
  2. Find the number of fusions and calculate the approximate mass of fusion fuel, assuming an average total atomic mass of the two nuclei in each reaction to be 5.
  3. Considering the masses found, does it seem reasonable that some missiles could carry 10 warheads? Discuss, noting that the nuclear fuel is only a part of the mass of a warhead.

View solution

Problem 58

This problem gives some idea of the magnitude of the energy yield of a small tactical bomb. Assume that half the energy of a 1.00-kT nuclear depth charge set off under an aircraft carrier goes into lifting it out of the water—that is, into gravitational potential energy. How high is the carrier lifted if its mass is 90,000 tons?

View solution

Problem 59

It is estimated that weapons tests in the atmosphere have deposited approximately 9 MCi of 90Sr{}^{90}\textrm{Sr} on the surface of the earth. Find the mass of this amount of 90Sr{}^{90}\textrm{Sr}.

View solution

Problem 60

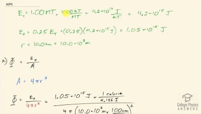
A 1.00-MT bomb exploded a few kilometers above the ground deposits 25.0% of its energy into radiant heat. (a) Find the calories per cm2\textrm{cm}^2 at a distance of 10.0 km by assuming a uniform distribution over a spherical surface of that radius. (b) If this heat falls on a person's body, what temperature increase does it cause in the affected tissue, assuming it is absorbed in a layer 1.00-cm deep?

View solution

Problem 61

One scheme to put nuclear weapons to nonmilitary use is to explode them underground in a geologically stable region and extract the geothermal energy for electricity production. There was a total yield of about 4,000 MT in the combined arsenals in 2006. If 1.00 MT per day could be converted to electricity with an efficiency of 10.0%: (a) What would the average electrical power output be? (b) How many years would the arsenal last at this rate?

View solution