Question
The energy produced by the fusion of a 1.00-kg mixture of deuterium and tritium was found in Example Calculating Energy and Power from Fusion. Approximately how many kilograms would be required to supply the annual energy use in the United States?
Final Answer
Solution video
OpenStax College Physics, Chapter 32, Problem 30 (Problems & Exercises)

vote with a rating of
votes with an average rating of
.
Calculator Screenshots
Video Transcript
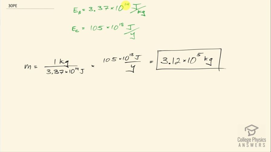
This is College Physics Answers with Shaun Dychko. We know that 1.00 kilogram of a mixture of deuterium and tritium will produce 3.37 times 10 to the 14 joules when they undergo fusion and the question is how many kilograms would be needed to supply the annual energy use of the United States? So we need to figure out how much energy the United States uses in a year— which is in table 7.6— and the US uses 105 exajoules per year and in case you don't know the word 'exa' because that's a big prefix, it's exa- ... exajoules—that's 10 to the 18. So the mass then of this mixture that's needed well, it takes 1 kilogram for every 3.37 times 10 to the 14 joules and we'll multiply that by 105 times 10 to the 18 joules consumed per year, the joules cancel and we have 3.12 times 10 to the 5 kilograms per year. And this makes the assumption though that efficiency of converting this heat energy into electricity is perfect, which is not a reasonable assumption so in fact it will take more mass than this.