Question
How many kilograms of water are needed to obtain the 198.8 mol of deuterium, assuming that deuterium is 0.01500% (by number) of natural hydrogen?
Final Answer
Solution video
OpenStax College Physics, Chapter 32, Problem 34 (Problems & Exercises)

vote with a rating of
votes with an average rating of
.
Calculator Screenshots
Video Transcript
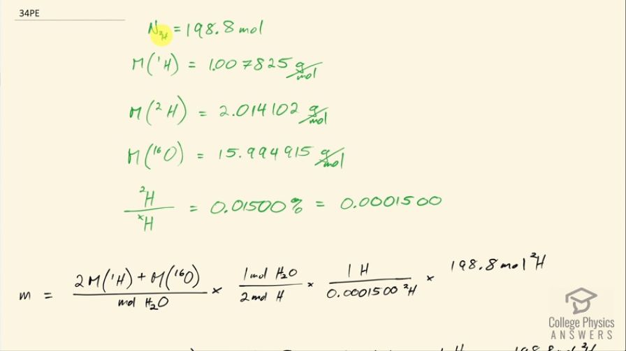
This is College Physics Answers with Shaun Dychko. How many kilograms of water are needed to obtain 198.8 mols of deuterium assuming that deuterium is 0.015 percent of all the hydrogen atoms? So the molar mass of hydrogen was one neutron... or sorry, zero neutrons I should say is 1.007825 grams per mol; the molar mass of hydrogen-2, which has 1 neutron—this is deuterium— is 2.014102 grams per mol; the molar mass of oxygen-16 is here and you know the fraction of deuterium to all hydrogen atoms is 0.0001500. So the mass of water that we will need is the molar mass of water so the chemical formula for water is H 2 O so two hydrogen atoms bound to one oxygen atom so we have 2 times the molar mass of hydrogen plus the molar mass of oxygen-16. Strictly speaking, this should be the average of the deuterium and the tritium and all the isotopes of hydrogen but because all the other isotopes are so rare, they won't actually affect the average mass so we can just use the mass of hydrogen-1. Then we multiply that by 1 mol of water for every 2 mols of hydrogen because there are 2 hydrogen atoms in each water molecule and so the moles of H 2 O cancel and we have grams in this unit at the top here, grams per mol and now we have units of mols of hydrogen on the bottom and then we multiply by 1 hydrogen atom for every 0.0001500 deuterium atom and so now hydrogen cancels and we are left with deuterium and then we multiply by 198.8 mols of hydrogen-2 so mols cancel and hydrogen-2 cancels and this works out to, after you plug in numbers here for the molar mass of hydrogen and oxygen, this works out to 1.2028 times 10 to the 7 grams and the questions asks for kilograms of water so we multiply by 1 kilogram for every 1000 grams and we have 1.20 times 10 to the 4 kilograms and notice how this method of canceling units tells us how to setup our fractions nicely. For finding the mass, I knew that I had to start with this molar mass because it has units of grams on the top and grams is a mass unit and then we work our way through and this fraction had to be written as 1 over 0.0001500 in order to have H 2 in the denominator, which will then cancel when we multiply by the mols of H 2. Well the mols strictly speaking came from over here and then the H 2 came from here. In any case, setting up units in fractions like this and watching units cancel is a helpful problem solving strategy.