Question
Breeding plutonium produces energy even before any plutonium is fissioned. (The primary purpose of the four nuclear reactors at Chernobyl was breeding plutonium for weapons. Electrical power was a by-product used by the civilian population.) Calculate the energy produced in each of the reactions listed for plutonium breeding just following Example 32.4. The pertinent masses are
, , and .
Final Answer
Solution video
OpenStax College Physics, Chapter 32, Problem 47 (Problems & Exercises)

vote with a rating of
votes with an average rating of
.
Calculator Screenshots
Video Transcript
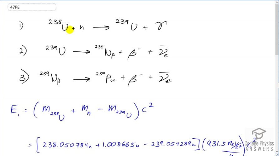
This is College Physics Answers with Shaun Dychko. We are going to calculate the energy released in each of the steps in creating plutonium. In step (1), it's neutron induced fission of uranium-238 producing uranium-239 and a gamma ray and in step (2), there's spontaneous beta decay of uranium-239 into neptunium-239 and then that will then turn half beta decay spontaneously to plutonium-239. So the energy released in part (1) is the total mass that we start with; uranium-238 plus a free neutron minus the mass of uranium-239. And so we look up those masses in appendix A and we find the total that we start with for the reactance and then subtract mass of uranium-239 multiply by this conversion factor between atomic mass units and megaelectron volts per c squared multiplied by c squared, we end up with 4.807 megaelectron volts released in step (1). In the spontaneous beta decay of uranium-239 into neptunium, we just the find the difference in masses between uranium and neptunium. So we look both of those up in appendix A and we end up with 1.26 megaelectron volts released. And when neptunium decays into plutonium, we find the mass difference between those nuclei and we end up with 0.7219 megaelectron volts released.