Question
(a) Calculate the energy released in the neutron-induced fission reaction
given that and . (b) Confirm that the total number of nucleons and total charge are conserved in this reaction.
given that and . (b) Confirm that the total number of nucleons and total charge are conserved in this reaction.
Final Answer
- Please see the solution video.
Solution video
OpenStax College Physics, Chapter 32, Problem 45 (Problems & Exercises)

vote with a rating of
votes with an average rating of
.
Calculator Screenshots
Video Transcript
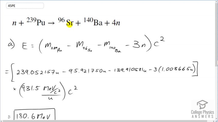
This is College Physics Answers with Shaun Dychko. We are going to find the energy released in the neutron induced fission of plutonium-239 and it's going to be creating strontium-96 and barium-140 and four neutrons. So we have on the left side, the total mass of the reactants is the mass of plutonium-239 and I didn't include the mass of the neutron here because on the products side, I'm taking away only three neutrons. So this you could say canceled out one of these. So we have a difference in mass between plutonium-239 and the mass of strontium-96, barium-140 and three neutrons and all these numbers are copied from appendix A and since the number of electrons of plutonium is equal to the number of electrons of strontium and barium combined, we don't need to worry about the electron masses that are included in these atomic masses. So 180.6 megaelectron volts in total is released. Then in part (b), we'll check to make sure the conservation laws for number of nucleons and charge are followed and on the left side, we have 240 nucleons and on the right hand side, we have a 96 and 4 is a 100 plus a 140 makes 240 as well and so check, the number of nucleons is conserved. And for charge, we have 94 is the atomic number of plutonium so there are 94 protons here and on the right side, we have 38 plus 56 which also is 94 and so yes, the amount of charge is conserved.