Question
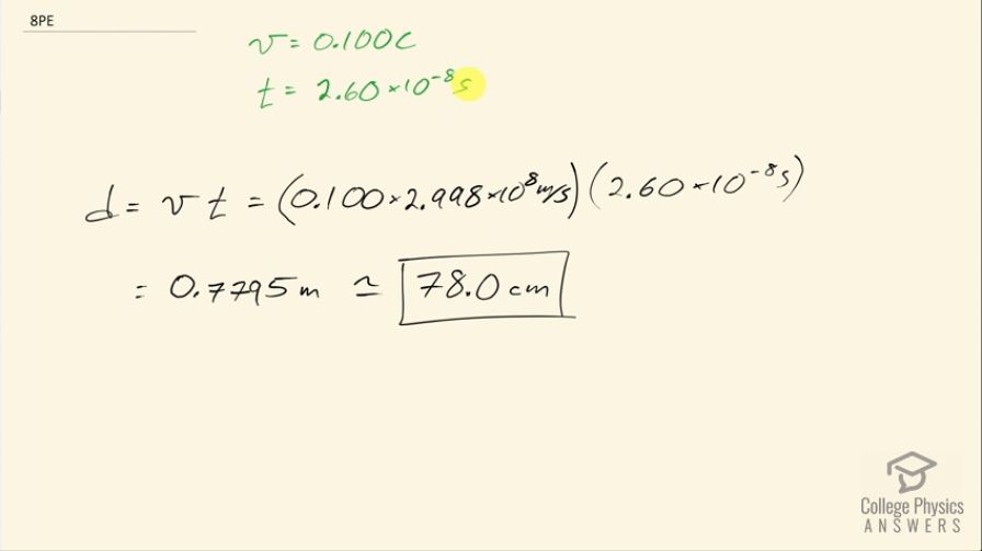
What length track does a traveling at leave in a bubble chamber if it is created there and lives for ? (Those moving faster or living longer may escape the detector before decaying.)
Final Answer
Solution video
OpenStax College Physics, Chapter 33, Problem 8 (Problems & Exercises)

vote with a rating of
votes with an average rating of
.
Calculator Screenshots
Video Transcript
This is College Physics Answers with Shaun Dychko. A pi plus meson travels at a speed of 0.100 times the speed of light and has a lifetime of 2.60 times 10 to the minus 8 seconds— it's created in some bubble chamber— and so it begins its lifetime in a bubble chamber and the question is how far will it travel or what length of streak will it leave in the bubble chamber? So the distance it will travel then is its speed multiplied by its time so that's 0.100 times the speed of light times its lifetime and that is 78.0 centimeters.