Question
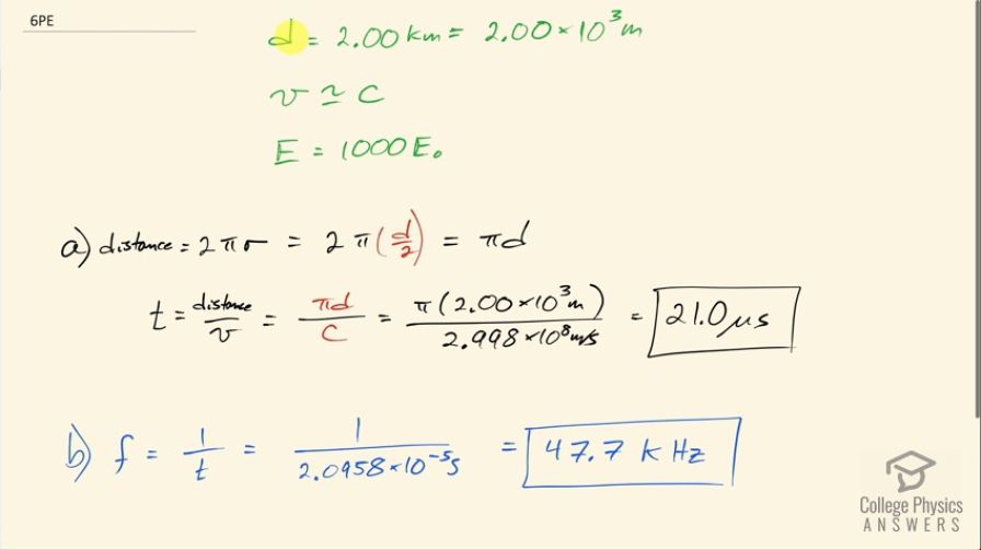
At full energy, protons in the 2.00-km-diameter Fermilab synchrotron travel at nearly the speed of light, since their energy is about 1000 times their rest mass energy.
(a) How long does it take for a proton to complete one trip around?
(b) How many times per second will it pass through the target area?
Final Answer
Solution video
OpenStax College Physics, Chapter 33, Problem 6 (Problems & Exercises)

vote with a rating of
votes with an average rating of
.
Calculator Screenshots
Video Transcript
This is College Physics Answers with Shaun Dychko. Some protons in Fermilab zip around the synchrotron in a circle with a diameter of 2.00 kilometers, which is 2.00 times 10 to the 3 meters at a speed approximately the speed of light and the question in part (a) is how long does it take for it to do one trip around the circle? So the distance the proton travels is the circumference of that circle, which is 2π times its radius but its radius is half its diameter and these 2's cancel meaning the circumference or the distance is π times the diameter and the time that the protons will take is the total distance they'll travel to go in a circle divided by the speed and the distance of a circle is πd and the speed is c. So we have π times 2.00 times 10 to the 3 meters divided by 2.998 times 10 to the 8 meters per second and that's 21.0 microseconds to do one trip around the circle. Part (b) is asking for the number of times per second that the proton will pass some target area. So if the proton is traveling in a circle, the target area will be one particular position on that circle and so we want to know what is the frequency of passing this position and that's going to be the reciprocal of its period or the time to do one cycle. So that's 1 over 2.0958 times 10 to the minus 5 seconds— this is the answer for part (a) written in scientific notation— and this is 47.7 kilohertz or in other words, 47.7 thousand times per second the proton will pass the target area.