Chapter 33

Chapter thumbnail
Part of the Large Hadron Collider at CERN, on the border of Switzerland and France. The LHC is a particle accelerator, designed to study fundamental particles.

Chapter 33 : Particle Physics - all with Video Solutions

Problems & Exercises

Section 33.1: The Yukawa Particle and the Heisenberg Uncertainty Principle

Problem 1

A virtual particle having an approximate mass of 10×1014 GeV/c210\times 10^{14}\textrm{ GeV/c}^2 may be associated with the unification of the strong and electroweak forces. For what length of time could this virtual particle exist (in temporary violation of the conservation of mass-energy as allowed by the Heisenberg uncertainty principle)?

View solution

Problem 2

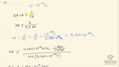
Calculate the mass in GeV/c2\textrm{GeV/c}^2 of a virtual carrier particle that has a range limited to 1030 m10^{-30}\textrm{ m} by the Heisenberg uncertainty principle. Such a particle might be involved in the unification of the strong and electroweak forces.

View solution

Problem 3

Another component of the strong nuclear force is transmitted by the exchange of virtual KK^-mesons. Taking KK^- mesons to have an average mass of 495 MeV/c2495\textrm{ MeV/c}^2, what is the approximate range of this component of the strong force?

View solution

Section 33.2: The Four Basic Forces

Problem 4

(a) Find the ratio of the strengths of the weak and electromagnetic forces under ordinary circumstances. (b) What does that ratio become under circumstances in which the forces are unified?

View solution

Problem 5

The ratio of the strong to the weak force and the ratio of the strong force to the electromagnetic force become 1 under circumstances where they are unified. What are the ratios of the strong force to those two forces under normal circumstances?

View solution

Section 33.3: Accelerators Create Matter from Energy

Problem 6

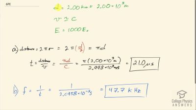
At full energy, protons in the 2.00-km-diameter Fermilab synchrotron travel at nearly the speed of light, since their energy is about 1000 times their rest mass energy. (a) How long does it take for a proton to complete one trip around? (b) How many times per second will it pass through the target area?

View solution

Problem 7

Suppose a WW^- created in a bubble chamber lives for 5.00×1025 s5.00\times 10^{-25}\textrm{ s}. What distance does it move in this time if it is travelling at 0.900c0.900c? Since this distance is too short to make a track, the presence of the WW^- must be inferred from its decay products. Note that the time is longer than the given WW^- lifetime, which can be due to the statistical nature of decay or due to time dilation.

View solution

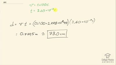
Problem 8

What length track does a π+\pi^+ traveling at 0.100c0.100c leave in a bubble chamber if it is created there and lives for 2.60×108 s2.60\times 10^{-8}\textrm{ s} ? (Those moving faster or living longer may escape the detector before decaying.)

View solution

Problem 9

The 3.20-km-long SLAC produces a beam of 50.0-GeV electrons. If there are 15,000 accelerating tubes, what average voltage must be across the gaps between them to achieve this energy?

View solution

Problem 10

Because of energy loss due to synchrotron radiation in the LHC at CERN, only 5.00 MeV is added to the energy of each proton during each revolution around the main ring. How many revolutions are needed to produce 7.00-TeV (7000 GeV) protons, if they are injected with an initial energy of 8.00 GeV?

View solution

Problem 11

A proton and an antiproton collide head-on, with each having a kinetic energy of 7.00 TeV (such as in the LHC at CERN). How much collision energy is available, taking into account the annihilation of the two masses? (Note that this is not significantly greater than the extremely relativistic kinetic energy.)

View solution

Problem 12

When an electron and positron collide at the SLAC facility, they each have 50.0 GeV kinetic energies. What is the total collision energy available, taking into account the annihilation energy? Note that the annihilation energy is insignificant, because the electrons are highly relativistic.

View solution

Section 33.4: Particles, Patterns, and Conservation Laws

Problem 13

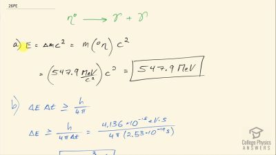
The π0\pi^0 is its own antiparticle and decays in the following manner: π0γ+γ\pi^0 \to \gamma + \gamma. What is the energy of each γ\gamma ray if the π0\pi^0 is at rest when it decays?

View solution

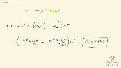
Problem 14

The primary decay mode for the negative pion is πμ+νμ\pi^- \rightarrow \mu^- + \overline{\nu_\mu}. What is the energy release in MeV in this decay?

View solution

Problem 15

The mass of a theoretical particle that may be associated with the unification of the electroweak and strong forces is 10×1014 GeV/c210\times 10^{14}\textrm{ GeV/c}^2 . (a) How many proton masses is this? (b) How many electron masses is this? (This indicates how extremely relativistic the accelerator would have to be in order to make the particle, and how large the relativistic quantity γ\gamma would have to be.)

View solution

Problem 16

The decay mode of the negative muon is μe+νe+νμ\mu^- \rightarrow e^- + \overline{\nu_e} + \nu_\mu. (a) Find the energy released in MeV. (b) Verify that charge and lepton family numbers are conserved.

View solution

Problem 17

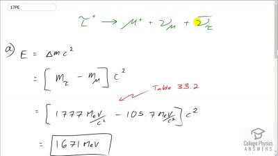
The decay mode of the positive tau is τ+μ++νμ+νˉτ\tau^+ \to \mu^+ + \nu_\mu + \bar{\nu}_\tau. (a) What energy is released? (b) Verify that charge and lepton family numbers are conserved. (c) The τ+\tau^+ is the antiparticle of the τ\tau^-.Verify that all the decay products of the τ+\tau^+ are the antiparticles of those in the decay of the τ\tau^- given in the text.

View solution

Problem 18

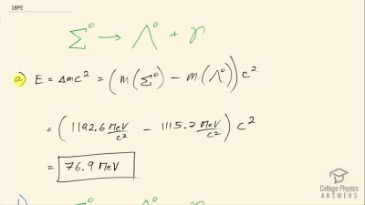
The principal decay mode of the sigma zero is Σ0Λ+γ\Sigma^0 \rightarrow \Lambda + \gamma (a) What energy is released? (b) Considering the quark structure of the two baryons, does it appear that the Σ0\Sigma^0 is an excited state of the Λ0\Lambda^0 ? (c) Verify that strangeness, charge, and baryon number are conserved in the decay. (d) Considering the preceding and the short lifetime, can the weak force be responsible? State why or why not.

View solution

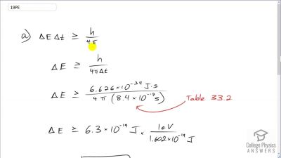
Problem 19

(a) What is the uncertainty in the energy released in the decay of a π0\pi^0 due to its short lifetime? (b) What fraction of the decay energy is this, noting that the decay mode is π0γ+γ\pi^0 \to \gamma + \gamma (so that all the π0\pi^0 mass is destroyed)?

View solution

Problem 20

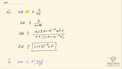
(a) What is the uncertainty in the energy released in the decay of a τ\tau^- due to its short lifetime? (b) Is the uncertainty in this energy greater than or less than the uncertainty in the mass of the tau neutrino? Discuss the source of the uncertainty.

View solution

Section 33.5: Quarks: Is That All There Is?

Problem 21

(a) Verify from its quark composition that the Δ+\Delta^+ particle could be an excited state of the proton. (b) There is a spread of about 100 MeV in the decay energy of the Δ+\Delta^+, interpreted as uncertainty due to its short lifetime. What is its approximate lifetime? (c) Does its decay proceed via the strong or weak force?

View solution

Problem 22

Accelerators such as the Triangle Universities Meson Facility (TRIUMF) in British Columbia produce secondary beams of pions by having an intense primary proton beam strike a target. Such “meson factories” have been used for many years to study the interaction of pions with nuclei and, hence, the strong nuclear force. One reaction that occurs is π++pΔ++π++p\pi^+ + p \rightarrow \Delta^{++} \rightarrow \pi^+ + p, where the Δ++\Delta^{++} is a is a very short-lived particle. The graph in Figure 33.26 shows the probability of this reaction as a function of energy. The width of the bump is the uncertainty in energy due to the short lifetime of the Δ++\Delta^{++}. (a) Find this lifetime. (b) Verify from the quark composition of the particles that this reaction annihilates and then re-creates a dd quark and a d\overline{d} antiquark by writing the reaction and decay in terms of quarks. (c) Draw a Feynman diagram of the production and decay of the Δ++\Delta^{++} showing the individual quarks involved.

View solution

Problem 23

The reaction π+pΔ++\pi^+ p \to \Delta^{++} (described in the preceding problem) takes place via the strong force. (a) What is the baryon number of the Δ++\Delta^{++} particle? (b) Draw a Feynman diagram of the reaction showing the individual quarks involved.

View solution

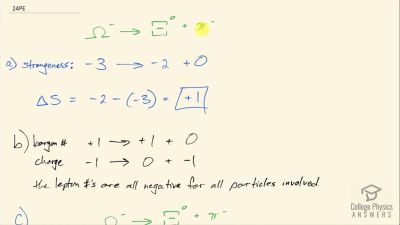
Problem 24

One of the decay modes of the omega minus is ΩΞ0+π\Omega^- \rightarrow \Xi^0 + \pi^- (a) What is the change in strangeness? (b) Verify that baryon number and charge are conserved, while lepton numbers are unaffected. (c) Write the equation in terms of the constituent quarks, indicating that the weak force is responsible.

View solution

Problem 25

One of the decay modes of the omega minus is ΩΛ0+K\Omega^- \to \Lambda^0 + K^-
  1. What is the change in strangeness?
  2. Verify that baryon number and charge are conserved, while lepton numbers are unaffected.
  3. Write the equation in terms of the constituent quarks, indicating that the weak force is responsible.

View solution

Problem 26

One decay mode for the eta-zero meson is η0γ+γ\eta^0 \rightarrow \gamma + \gamma. (a) Find the energy released. (b) What is the uncertainty in the energy due to the short lifetime? (c) Write the decay in terms of the constituent quarks. (d) Verify that baryon number, lepton numbers, and charge are conserved.

View solution

Problem 27

One decay mode for the eta-zero meson is η0π0+π0\eta^0 \to \pi^0 + \pi^0 (a) Write the decay in terms of the quark constituents. (b) How much energy is released? (c) What is the ultimate release of energy, given the decay mode for the pi zero is π0γ+γ\pi^0 \to \gamma + \gamma?

View solution

Problem 28

Is the decay ne++en \rightarrow e^+ + e^- possible considering the appropriate conservation laws? State why or why not.

View solution

Problem 29

Is the decay μe+νe+νμ\mu^- \to e^- + \nu_e + \nu_\mu possible considering the appropriate conservation laws? State why or why not.

View solution

Problem 30

(a) Is the decay Λ0n+π0\Lambda^0 \rightarrow n + \pi^0 possible considering the appropriate conservation laws? State why or why not. (b) Write the decay in terms of the quark constituents of the particles.

View solution

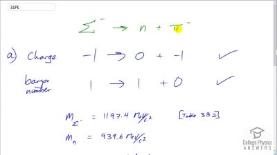
Problem 31

(a) Is the decay Σn+π\Sigma^- \to n + \pi^- possible considering the appropriate conservation laws? State why or why not. (b) Write the decay in terms of the quark constituents of the particles.

View solution

Problem 32

The only combination of quark colors that produces a white baryon is RGB. Identify all the color combinations that can produce a white meson.

View solution

Problem 33

(a) Three quarks form a baryon. How many combinations of the six known quarks are there if all combinations are possible? (b) This number is less than the number of known baryons. Explain why.

View solution

Problem 34

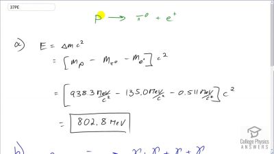
(a) Show that the conjectured decay of the proton, pπ0+e+p \rightarrow \pi^0 + e^+, violates conservation of baryon number and conservation of lepton number. (b) What is the analogous decay process for the antiproton?

View solution

Problem 37

(a) How much energy would be released if the proton did decay via the conjectured reaction pπ0+e+p \to \pi^0 + e^+ ? (b) Given that the π0\pi^0 decays to two γ\gammas and that the e+e^+ will find an electron to annihilate, what total energy is ultimately produced in proton decay? (c) Why is this energy greater than the proton's total mass (converted to energy)?

View solution

Problem 38

(a) Find the charge, baryon number, strangeness, charm, and bottomness of the J/ΨJ/\Psi particle from its quark composition. (b) Do the same for the Υ\Upsilon particle.

View solution

Problem 39

There are particles called D-mesons. One of them is the D+D^+ meson, which has a single positive charge and a baryon number of zero, also the value of its strangeness, topness, and bottomness. It has a charm of +1. What is its quark configuration?

View solution

Problem 40

There are particles called bottom mesons or BB^- mesons. One of them is the BB^- meson, which has a single negative charge; its baryon number is zero, as are its strangeness, charm, and topness. It has a bottomness of −1 . What is its quark configuration?

View solution

Problem 41

(a) What particle has the quark composition \bar{\textrm{u}}\bar{\textrm{u}}\bar{\textrm{d}}? (b) What should its decay mode be?

View solution

Problem 42

(a) Show that all combinations of three quarks produce integral charges. Thus baryons must have integral charge. (b) Show that all combinations of a quark and an antiquark produce only integral charges. Thus mesons must have integral charge.

View solution

Section 33.6: GUTs: The Unification of Forces

Problem 43

The intensity of cosmic ray radiation decreases rapidly with increasing energy, but there are occasionally extremely energetic cosmic rays that create a shower of radiation from all the particles they create by striking a nucleus in the atmosphere as seen in the figure given below. Suppose a cosmic ray particle having an energy of 1010 GeV10^{10}\textrm{ GeV} converts its energy into particles with masses averaging 200 MeV/c2200 \textrm{ MeV/c}^2. (a) How many particles are created? (b) If the particles rain down on a 1.00 km21.00 \textrm{ km}^2 area, how many particles are there per square meter?

View solution

Problem 44

Assuming conservation of momentum, what is the energy of each γ\gamma ray produced in the decay of a neutral at rest pion, in the reaction π0γ+γ\pi^0 \rightarrow \gamma + \gamma?

View solution

Problem 45

What is the wavelength of a 50-GeV electron, which is produced at SLAC? This provides an idea of the limit to the detail it can probe.

View solution

Problem 46

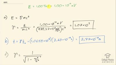
(a) Calculate the relativistic quantity γ=11v2/c2\gamma = \dfrac{1}{\sqrt{1-v^2/c^2}} for 1.00-TeV protons produced at Fermilab. (b) If such a proton created a π+\pi^+ having the same speed, how long would its life be in the laboratory? (c) How far could it travel in this time?

View solution

Problem 47

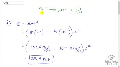
The primary decay mode for the negative pion is πμ+νˉμ \pi^- \to \mu^- + \bar{\nu}_\mu. (a) What is the energy release in MeV in this decay? (b) Using conservation of momentum, how much energy does each of the decay products receive, given the π\pi^- is at rest when it decays? You may assume the muon antineutrino is massless and has momentum p=Ecp = \dfrac{E}{c}, just like a photon.

View solution

Problem 48

Plans for an accelerator that produces a secondary beam of K-mesons to scatter from nuclei, for the purpose of studying the strong force, call for them to have a kinetic energy of 500 MeV. (a) What would the relativistic quantity γ=11v2/c2\gamma = \dfrac{1}{\sqrt{1 - v^2/c^2}} be for these particles? (b) How long would their average lifetime be in the laboratory? (c) How far could they travel in this time?

View solution

Problem 49

Suppose you are designing a proton decay experiment and you can detect 50 percent of the proton decays in a tank of water. (a) How many kilograms of water would you need to see one decay per month, assuming a lifetime of 1031 y10^{31}\textrm{ y} ? (b) How many cubic meters of water is this? (c) If the actual lifetime is 1033 y10^{33}\textrm{ y}, how long would you have to wait on an average to see a single proton decay?

View solution

Problem 50

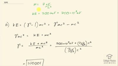
In supernovas, neutrinos are produced in huge amounts. They were detected from the 1987A supernova in the Magellanic Cloud, which is about 120,000 light years away from the Earth (relatively close to our Milky Way galaxy). If neutrinos have a mass, they cannot travel at the speed of light, but if their mass is small, they can get close. (a) Suppose a neutrino with a 7 eV/c27\textrm{ eV/c}^2 mass has a kinetic energy of 700 keV. Find the relativistic quantity γ=11v2/c2\gamma = \dfrac{1}{\sqrt{1-v^2/c^2}} for it. (b) If the neutrino leaves the 1987A supernova at the same time as a photon and both travel to Earth, how much sooner does the photon arrive? This is not a large time difference, given that it is impossible to know which neutrino left with which photon and the poor efficiency of the neutrino detectors. Thus, the fact that neutrinos were observed within hours of the brightening of the supernova only places an upper limit on the neutrino's mass. (Hint: You may need to use a series expansion to find v for the neutrino, since its γ\gamma is so large.)

View solution