Question
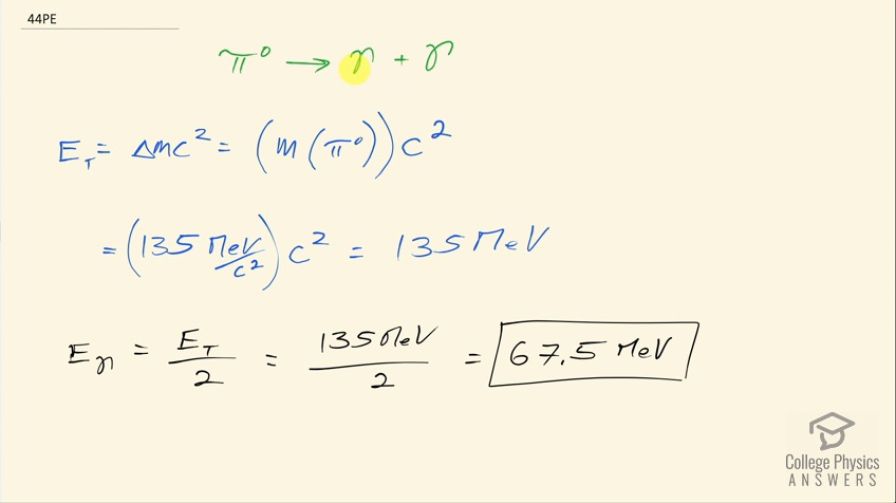
Assuming conservation of momentum, what is the energy of each ray produced in the decay of a neutral at rest pion, in the reaction ?
Final Answer
Solution video
OpenStax College Physics, Chapter 33, Problem 44 (Problems & Exercises)

vote with a rating of
votes with an average rating of
.
Calculator Screenshots
Video Transcript
This is College Physics Answers with Shaun Dychko. When this neutral pion decays into two photons, we assume that momentum is conserved and this pion is initially at rest in which case, the energy will be distributed evenly among these two different photons. And so the total energy released in this reaction is going to be the difference in mass between the reactants and products times c squared and the gamma particles have no mass at all so the change in mass is the mass of the neutral pion. So we look that up in table [33.2] and its mass is 135 megaelectron volts per c squared and we multiply that by c squared and 135 megaelectron volts is the total energy released and the energy for each photon is going to be half the total and that will be 67.5 megaelectron volts.