Question
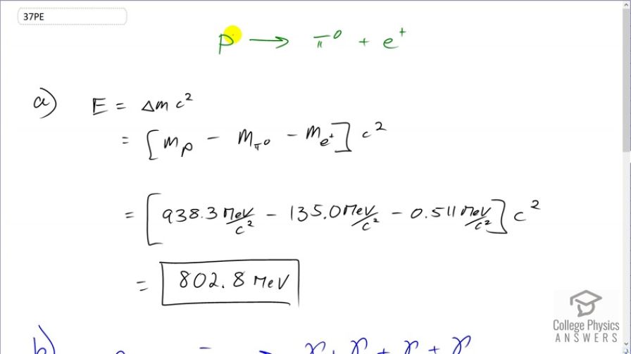
(a) How much energy would be released if the proton did decay via the conjectured reaction ?
(b) Given that the decays to two s and that the will find an electron to annihilate, what total energy is ultimately produced in proton decay?
(c) Why is this energy greater than the proton's total mass (converted to energy)?
Final Answer
- This is greater than the mass energy of the proton since an electron has also been converted into energy.
Solution video
OpenStax College Physics, Chapter 33, Problem 37 (Problems & Exercises)

vote with a rating of
votes with an average rating of
.
Calculator Screenshots
Video Transcript
This is College Physics Answers with Shaun Dychko. If a proton were to decay into a neutral pion and a positron, the energy released would be the energy difference between the proton to begin with and the total mass energy of that neutral pion and positron. And so we'll find this mass difference by looking up you know, all the masses in the data table that we have; we have mass of the proton is 938.3 megaelectron volts per c squared minus the mass of the neutral pion minus the mass of the positron which is the same as that of an electron. And times all that by c squared and we get 802.8 megaelectron volts released in this decay. Now ultimately we are going to get four gamma rays produced by this proton decay because this neutral pion is its own anti-particle and so it annihilates with itself and turns into two gamma rays. And this positron since we live in a matter world not an anti-matter world this positron will eventually find or quickly find, I should say an electron to annihilate with to create a further two gamma rays. And so what we are starting with is not just the proton but we are also going to be starting with an electron as part of this decay because the positron will eventually find that electron. So this electron is gonna be consumed in this reaction and so to find the energy released, we take the total energy that we start with which is that of the proton plus the electron minus the total mass that we have in the end which is 0 times that by c squared and we have 938.3 megaelectron volts per c squared is the mass of the proton plus 0.511 megaelectron volts per c squared for the electron giving a total energy released of 938.8 megaelectron volts. Now part (c), this energy is greater than the energy of the proton by itself because not only has the proton decayed but we have also consumed the mass energy of an electron in this overall reaction.