Question
The principal decay mode of the sigma zero is
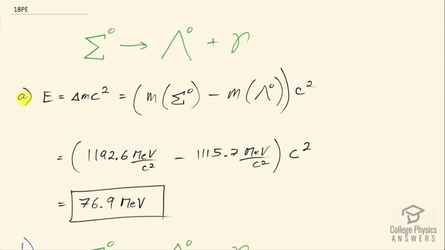
(a) What energy is released?
(b) Considering the quark structure of the two baryons, does it appear that the is an excited state of the ?
(c) Verify that strangeness, charge, and baryon number are conserved in the decay.
(d) Considering the preceding and the short lifetime, can the weak force be responsible? State why or why not.
Final Answer
- Yes, the is an excited state of since their quark composition is the same.
- Please see the solution video
- The strong nuclear force can not change quark flavor. Decay due to the strong nuclear force has a short lifetime. Both of these characterize the reaction here, so therefore the strong nuclear force is responsible.
Solution video
OpenStax College Physics, Chapter 33, Problem 18 (Problems & Exercises)

vote with a rating of
votes with an average rating of
.
Calculator Screenshots
Video Transcript
This is College Physics Answers with Shaun Dychko. A sigma zero particle decays into a lambda zero particle plus a gamma particle and question (a) is asking what energy is released? So that will be the difference in mass of these reactants and products times c squared and so we need to look up the mass of the sigma zero particle and subtract from it the mass of the lambda zero particle the gamma particle has no rest mass. So we look at this table [33.2] and in the 'Baryon' section, we find the lambda zero particle as the mass of 1192.6 megaelectron volts per c squared and then the lambda zero particle is 1115.7 and the difference after multiplying by c squared we get 76.9 megaelectron volts of energy released. Part (b) is saying considering the quark structure of the two baryons, does it appear that the sigma zero is an excited state of the lambda zero? So we look up the quark structure in table [33.4] and for a sigma zero, it's up, down and strange quarks put together and for the lambda zero, it's the same up, down and strange so yeah, the sigma zero must be an excited state of the lambda zero because they have the same quark structure. Part (c) is asking to verify that the strangeness, charge and baryon number are conserved in the decay. So the strangeness for the sigma zero is negative 1 and we can verify that by looking in this table here the left hand among these two columns here they have sigma zero, regular matter and then the anti-matter sigma zero; the first column—the regular matter— is the top sign here when you are looking at this negative and this plus so the strangeness— this is a strangeness column here— this strangeness is negative 1 for the regular matter sigma zero particle and the same is true for the lambda zero particle. So it's negative 1 on both sides and so that's conserved, the charge is zero on all the particles here and so that's conserved and the baryon number is 1 for sigma zero and 1 for the lambda zero— that's this first column here and that's the baryon number there. Okay! So there we are—those are all conserved. Part (d) is asking which force is responsible for this? The strong nuclear force or the weak nuclear force? And the strong nuclear force cannot change quark flavor and the strong nuclear force also has short lifetimes for the decay and both of these characterize this decay because the quark flavors have not changed, we have strangeness conserved and up and down didn't change either and therefore, the strong nuclear force is responsible and it's not mediated by the weak nuclear force.