Question
The decay mode of the positive tau is .
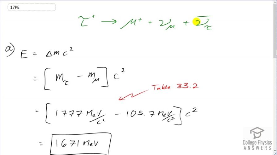
(a) What energy is released?
(b) Verify that charge and lepton family numbers are conserved.
(c) The is the antiparticle of the .Verify that all the decay products of the are the antiparticles of those in the
decay of the given in the text.
Final Answer
- Please see the solution video for parts b) and c)
Solution video
OpenStax College Physics, Chapter 33, Problem 17 (Problems & Exercises)

vote with a rating of
votes with an average rating of
.
Calculator Screenshots
Video Transcript
This is College Physics Answers with Shaun Dychko. The positive tau particle decays into a positive muon plus a muon neutrino and a tau anti-neutrino and the question is how much energy is released in part (a)? And so we find the difference in mass between the products and the reactants and multiply that by c squared. So we have to find the mass difference between a tau particle and a muon and these neutrino's are essentially massless; they have negligible mass. And so from table [33.2], we can find that the mass of a tau particle is 1777 megaelectron volts per c squared and that of a muon is 105.7. Then take that difference, multiply it by c squared and the energy released then is 1671 megaelectron volts. In part (b), we have to verify that the charge and the lepton family numbers are conserved in this decay. So charge on the left is positive 1 in this positive tau particle and on the right side we have a positive 1 charge in this positive muon and 0 charge from each of the neutrino and the anti-neutrino's and that is a check then because it's plus 1 on both sides; charge is conserved. The tau family number is negative 1 for well, actually hang on a second this should be 0 for the tau family number; let's separate our treatment of the muon and the tau family numbers here. So for the tau family number, we have negative 1 for the positive tau particle 0 tau family number for each of these muon related particles and a negative 1 tau family number for the tau anti-neutrino. And then for muon family number, we have 0 on the left and then negative 1 for the muon family number for the positive muon and then positive 1 for the muon family number of the muon neutrino. And so that is 0 in total on both sides and so that checks out as well. Part (c) we are told to verify that the decay shown in equation number 8 in chapter 33 is creating the anti-particles of the decay for the positive tau. So the negative tau produces a negative muon, a muon anti-neutrino and a tau neutrino whereas for the decay of a positive tau, we are getting a positive muon, a muon neutrino and a tau anti-neutrino and so each of these particles are their respective anti-particle counterparts in these two reactions or two decays. And there we go.