Question
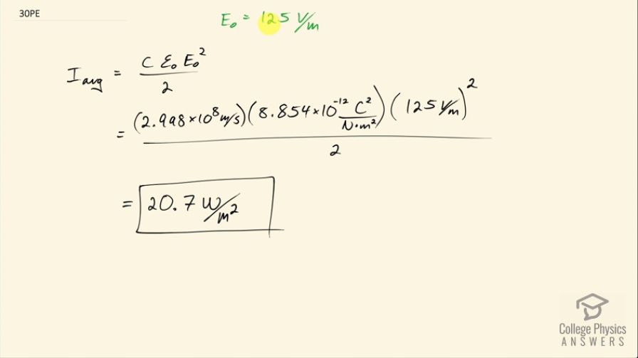
What is the intensity of an electromagnetic wave with a peak electric field strength of 125 V/m?
Final Answer
Solution video
OpenStax College Physics, Chapter 24, Problem 30 (Problems & Exercises)

vote with a rating of
votes with an average rating of
.
Calculator Screenshots
Video Transcript
This is College Physics Answers with Shaun Dychko. We are going to find the average intensity of an electromagnetic wave that has an electric field strength at its peak of 125 volts per meter. So this is the formula for the average intensity in terms of the electric field strength. So that's speed of light times permittivity of free space times the electric field strength at its peak squared divided by 2. So that's 2.998 times 10 to the 8 meters per second times 8.854 times 10 to the minus 12 coulomb squared per newton meters squared times 125 volts per meter squared divided by 2 is 20.7 watts per square meter.