Question
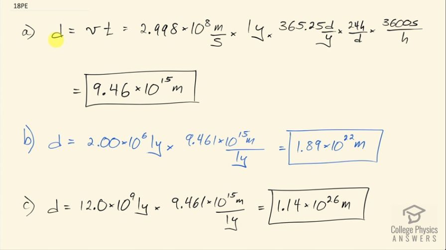
Distances in space are often quoted in units of light years, the distance light travels in one year. (a) How many meters is a light year? (b) How many meters is it to Andromeda, the nearest large galaxy, given that it is light years away? (c) The most distant galaxy yet discovered is
light years away. How far is this in meters?
Final Answer
Solution video
OpenStax College Physics, Chapter 24, Problem 18 (Problems & Exercises)

vote with a rating of
votes with an average rating of
.
Calculator Screenshots
Video Transcript
This is College Physics Answers with Shaun Dychko. A light year is typical distance measure that you see in popular literature and the question here in part (a) is how many meters is that? And so we can figure that out by taking the speed of light and multiply it by the amount of time that it spends traveling. So the speed of light is 2.998 times 10 to the 8 meters per second and we multiply that by 1 year but the year has to be expressed in seconds in order to cancel with the seconds in the denominator of the speed. So we convert 1 year into seconds by multiplying by 365.25 days per year and then multiply that by 24 hours per day times 3600 seconds per hour and then these seconds cancel with these seconds and we end up with meters and this works out to 9.46 times 10 to the 15 meters in one light year. The nearest galaxy to us is the Andromeda galaxy and so the distance in meters given that its 2.00 times 10 to the 6 light years away, we have to multiply by 9.461 times 10 to the 15 meters for every light year and we get 1.89 times 10 to the 22 meters is the distance to Andromeda. The most distant galaxy discovered is 12.0 times 10 to the 9 light years and in expressing that distance in meters, we have to multiply by this conversion factor again and we get 1.14 times 10 to the 26 meters.