Question
(a) Calculate the rate in watts at which heat transfer through radiation occurs (almost entirely in the infrared) from of the Earth’s surface at night. Assume the emissivity is 0.90, the temperature of the Earth is , and that of outer space is 2.7 K. (b) Compare the intensity of this radiation with that coming to the Earth from the Sun during the day, which
averages about , only half of which is absorbed. (c) What is the maximum magnetic field strength in the outgoing radiation, assuming it is a continuous wave?
Final Answer
- 88% of solar radiation absorbed during the day is re-emitted at night.
Solution video
OpenStax College Physics, Chapter 24, Problem 29 (Problems & Exercises)

vote with a rating of
votes with an average rating of
.
Calculator Screenshots
Video Transcript
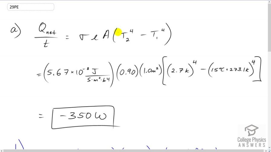
This is College Physics Answers with Shaun Dychko. The rate of heat loss due to radiation is Stefan–Boltzmann constant times emissivity times the area emitting multiplied by the temperature of the environment that’s emitting to, to power four minus the temperature of the object to the power four and these temperatures have to be in absolute terms, these are in kelvin. So, we have Stefan–Boltzmann constant 5.67 times ten to the minus eight joules per second per meter square per kelvin to the fourth times emissivity of earth which we are told is 0.90 times the area we are told to consider which is one meter squared and we multiply that by temperature of deep space which is 2.7 kelvin to the power four minus the temperature of earth at night which is 15 degree Celsius say which we convert into kelvin by adding 273.1 and that raised to the power four. This works out to negative 350 watts. So, we have a negative because the Earth is losing heat energy at night and then during the day we are told that it is receiving solar radiations with an intensity of 800 watts per square meter and then on the same one square meter of area, we will get 400 watts of power absorbed assuming only half of it is absorbed and this represents… well… the amount of radiation… or the rate of which heat is lost at night which is 351.6 watts, is 87.9 percent or 88 percent of the amount of energy absorbed during the day. So, 88 percent of solar radiations absorbed during the day is then re-emitted at night and then the magnetic field strength of this is next thing to consider. So, we have the average intensity is speed of light times the peak magnetic field strength squared divided by two times permeability of free space and we can solve for B naught by multiplying both sides by two times mu naught over c and then switch the sides around and we get this and then you take the square root of both sides to get the magnetic field strength is the square root of two times permeability of free space times intensity of the radiations divided by c. So, that’s square root of two times four pi times ten to the minus seven tesla meter per amp times 351.6 watts per square meter and this is the intensity, we got… we had watts up here but this also can be thought of as intensity because it’s the power emitted by one square meter so this is watts per one square meter and we could have gone intensity equal power divided by area and we end up with 350 watts as calculated here divided by one square meter. Okay and then divide that by speed of light and this works out to 1.7 times ten to the minus six tesla.