Question
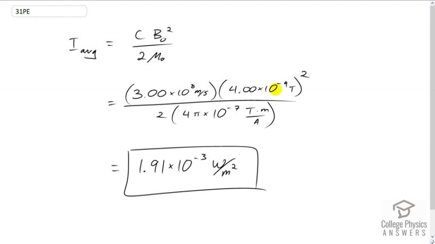
Find the intensity of an electromagnetic wave having a peak magnetic field strength of
Final Answer
Solution video
OpenStax College Physics, Chapter 24, Problem 31 (Problems & Exercises)

vote with a rating of
votes with an average rating of
.
Calculator Screenshots
Video Transcript
This is College Physics Answers with Shaun Dychko. We want to find the average intensity of electromagnetic wave that has a certain peak magnetic field strength. So, we have a formula which says speed of light times magnetic field strength squared divided by two times permeability of free space tells us that intensity. So, that’s three times ten to the eight meter per second times four times ten to the minus nine tesla squared overtwo times four pi ten to the minus seven tesla meter per amp gives us 1.91 times ten to the minus three watt per square meter.