Question
Show that for a continuous sinusoidal electromagnetic wave, the peak intensity is twice the average intensity (, using either the fact that , or , where "rms" means average (actually root mean square, a type of average).
Final Answer
Please see the solution video.
Solution video
OpenStax College Physics, Chapter 24, Problem 37 (Problems & Exercises)

vote with a rating of
votes with an average rating of
.
Video Transcript
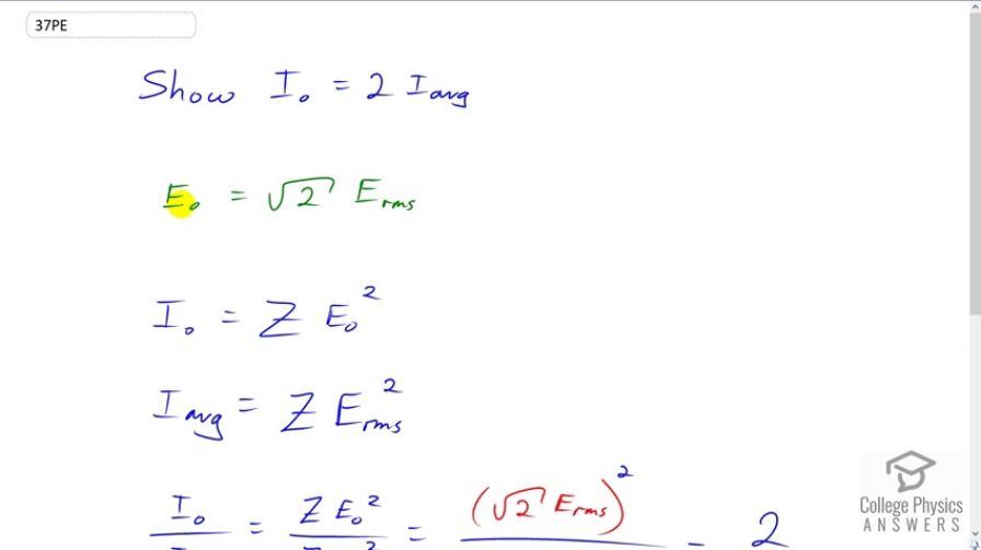
This is College Physics Answers with Shaun Dychko. We are going to show that the peak intensity of electromagnetic wave is two times its average intensity and we are given this fact that the peak electric field in the electromagnetic wave is root two times the RMS electric field, that’s the root mean square. So, we know that the average intensity is speed of light times permittivity of free space times peak electric field squared divided by two and we can assume from this that the peak intensity is also going to be proportional to the peak electric field squared and so we have z be whatever proportional constant of proportionality is needed. Its gonna be different from this because this constant of proportionality z equals c epsilon naught over two is relating the average intensity to the peak electric field squared so this z will be something else here. And then the average intensity also will be that proportional, constant of proportionality times the RMS electric field squared and so given that we need to take the ratio of these intensities, taking z times E naught squared over z times E RMS squared and E naught can be substituted with root two times the RMS electric field and the E RMS squared cancel on top and bottom leaving us with square two squared which is two and so we are showing that the peak intensity is two times the average intensity cause you can multiply this by I average and multiply two by I average and you get I naught equals two times I average.