Question
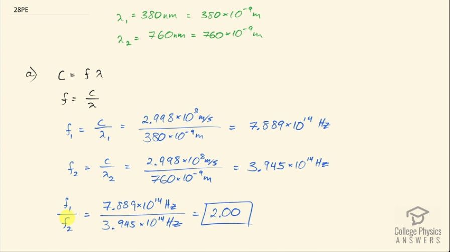
(a) Calculate the ratio of the highest to lowest frequencies of electromagnetic waves the eye can see, given the wavelength range of visible light is from 380 to 760 nm. (b) Compare this with the ratio of highest to lowest frequencies the ear can hear.
Final Answer
- 2.00
- 1000
Solution video
OpenStax College Physics, Chapter 24, Problem 28 (Problems & Exercises)

vote with a rating of
votes with an average rating of
.
Calculator Screenshots
Video Transcript
This is College Physics Answers with Shaun Dychko. In part (a), we are going to find the ratio of frequencies between the highest and lowest frequency that the eye can see. So the shortest wavelength the eye can see is 380 nanometers and the longest wavelength it can see is 760 nanometers so we can figure out the frequencies based on these wavelengths using this wave equation and solve it for f by dividing both sides by λ and so we have the frequency then is the speed of light divided by the wavelength of a light. So frequency one then is speed of light divided by wavelength one. So that's 2.998 times 10 to the 8 meters per second divided by 380 nanometers written as 380 times 10 to the minus 9 meters and that's 7.889 times 10 to the 14 hertz. Frequency two is the speed of light divided by 760 nanometers and that works out to 3.945 times 10 to the 14 hertz and we take the ratio of these frequencies and this works out to 2.00. So the highest frequency that the eye can see is 2 times the lowest frequency can see. Now when it comes to hearing, the highest frequency that can be heard is 20000 hertz and the lowest frequency that can be heard is 20 hertz and the ratio of those frequencies is 1000. So the ears have a much greater range than the eyes in terms of... I mean not absolute numbers but in terms of the factor by which the greatest and lowest frequencies differ.