Question
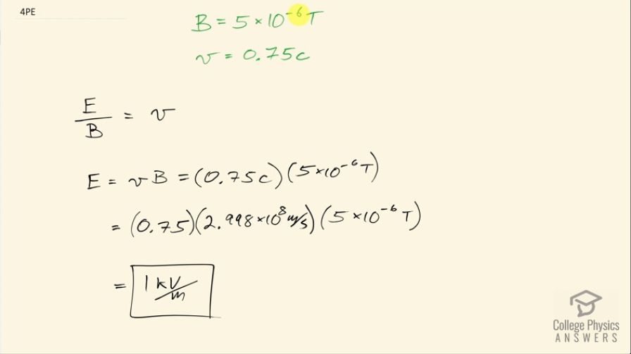
The maximum magnetic field strength of an electromagnetic field is . Calculate the maximum
electric field strength if the wave is traveling in a medium in which the speed of the wave is .
Final Answer
Solution video
OpenStax College Physics, Chapter 24, Problem 4 (Problems & Exercises)

vote with a rating of
votes with an average rating of
.
Calculator Screenshots
Video Transcript
This is College Physics Answers with Shaun Dychko. The magnetic field component of this electromagnetic wave has a strength of 5 times 10 to the minus 6 tesla and the speed of this wave is 0.75 times the speed of light in a vacuum. So we know that the ratio of the electric field strength to the magnetic field strength is the speed of the wave and we can solve for E by multiplying both sides by B. So the electric field strength is then the speed of the wave multiplied by its magnetic field strength. So that's 0.75c times 5 times 10 to the minus 6 tesla and c is 2.998 times 10 to the 8 meters per second so we multiply all these together and we get 1 kilovolt per meter is the electric field strength.