Question
Final Answer
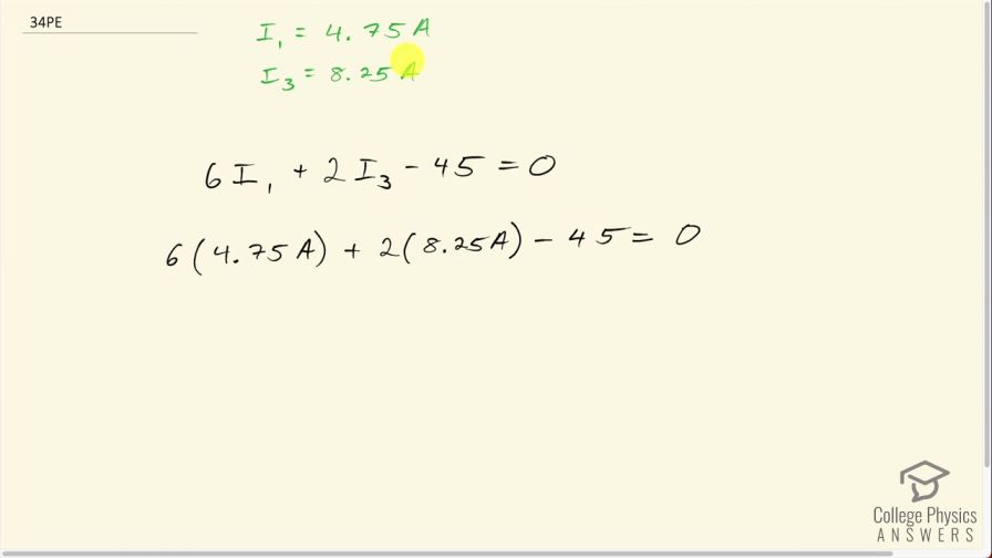
Substitute for and in where and .
Solution video
OpenStax College Physics for AP® Courses, Chapter 21, Problem 34 (Problems & Exercises)

vote with a rating of
votes with an average rating of
.
Calculator Screenshots
Video Transcript
This is College Physics Answers with Shaun Dychko. In this problem, we practice checking our answers in solving a circuit. So if we have some answers: here's current I 1 and current I 3 that are given to us in example [21.5], we can substitute those values into each of the equations that we have created to find these answers and the equation should be true with these numbers substituted in. Here's the third equation in the solution which is 6I 1 plus 2I 3 minus 45 equals 0 and if we substitute 4.75 amps in for I 1 and 8.25 amps for I 3 and then do this calculation we should confirm that it does indeed equal 0 and it does!