Question
Find the resistance that must be placed in series with a galvanometer having a sensitivity to allow it to be used as a voltmeter with: (a) a 300-V full-scale reading, and (b) a 0.300-V full-scale reading.
Final Answer
Solution video
OpenStax College Physics for AP® Courses, Chapter 21, Problem 48 (Problems & Exercises)

vote with a rating of
votes with an average rating of
.
Calculator Screenshots
Video Transcript
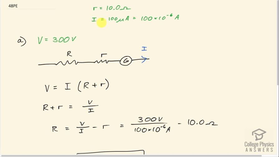
This is College Physics Answers with Shaun Dychko. We have a galvanometer that has an internal resistance of 10.0 ohms which is labeled r and its sensitivity is 100 microamps which is another way of saying the current that gives a full scale reading is 100 microamps, or 100 times 10 to the minus 6 amps. and in part (a), we are meant to use this as a voltmeter and so that means we place a large resistance in series with the galvanometer such that when we have a voltage between the two terminals here that voltage will be a maximum of 300 volts and we know that that maximum reading will occur when we have the maximum current through the galvanometer of 100 microamps. So the voltage between these two terminals is the current multiplied by the total resistance which is the introduced voltage plus the internal resistance we are solving for R here by the way we want to know what that resistance should be so we will divide both sides by I and switch the sides around and we get R plus r equals V over I and then subtract r from both sides and the resistance then is 300 volts divided by 100 microamps minus 10.0 ohms—internal resistance— and that's 3.00 times 10 to the 6 ohms. And we expected a large answer when we are having a resistance in series with a galvanometer to use it as a voltmeter so that's good! Part (b) says suppose you want a full scale reading at 0.300 volts. Well the formula is gonna be the same and now it's 0.300 volts divided by 100 microamps minus 10.0 ohms which is 2.99 times 10 to the 3 ohms.