Question
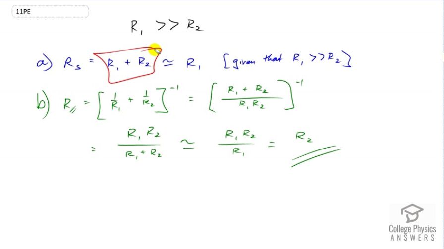
Show that if two resistors and are combined and one is much greater than the other ( ): (a) Their series resistance is very nearly equal to the greater resistance . (b) Their parallel resistance is very nearly
equal to smaller resistance .
Final Answer
see video solution for explanation.
Solution video
OpenStax College Physics for AP® Courses, Chapter 21, Problem 11 (Problems & Exercises)

vote with a rating of
votes with an average rating of
.
Video Transcript
This is College Physics Answers with Shaun Dychko. Connecting resistance R1 and resistance R2 in series means that you add the two resistances together directly. And so since R1 we are told is much much bigger than R2, this total is going to essentially be R1 since R1 is so big R2 has no effect on it when you add to it. So this resistance is essentially approximately equal to R1. When connecting parallel, the total parallel resistance will be the reciprocal of the sum of the reciprocals. And so, we have one over R1 over R2 all to the power negative one. And we can get a common denominator here by multiplying this by R2 over R2. And this R1 over R1. And we have R1 plus R2 on top divided by R1 multiplied by R2 at the bottom. And then take the reciprocal of that when get R1R2 over R1 plus R2. And since this denominator is essentially R1 from the same logic that we have up here. R1 as so much bigger than R2, R2 has no effect when we add to it. The denominator is essentially R1. And then this fraction is R2. And there we go.