Question
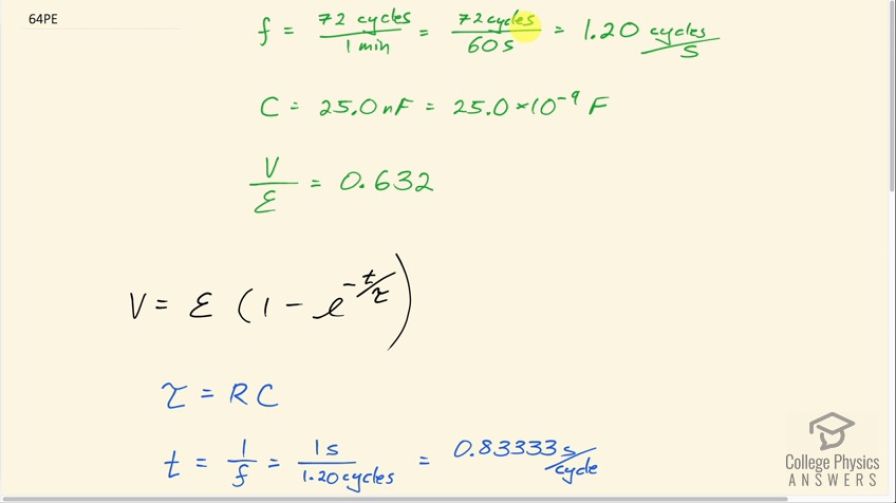
A heart pacemaker fires 72 times a minute, each time a 25.0-nF capacitor is charged (by a battery in series with a resistor) to 0.632 of its full voltage. What is the value of the resistance?
Final Answer
Solution video
OpenStax College Physics for AP® Courses, Chapter 21, Problem 64 (Problems & Exercises)

vote with a rating of
votes with an average rating of
.
Calculator Screenshots
Video Transcript
This is College Physics Answers with Shaun Dychko. A heart pacemaker fires 72 times every minute that is 72 cycles for every 60 seconds or 1.20 cycles per second and this is useful because this will give us the time it takes for one cycle by taking the reciprocal of this number because period is reciprocal of frequency and the period is the time in our formula here for the voltage across a capacitor. The capacitance is 25.0 nanofarads, which is 25.0 times 10 to the minus 9 farads and we are told that the ratio of the voltage across the capacitor divided by the charging emf is 0.632 when it fires. So this is the formula for the voltage across a capacitor: it's the charging emf times 1 minus e to the power of negative time divided by this time constant, which is the resistance in the circuit multiplied by the capacitance and the time is the reciprocal of the frequency so that's 1 over 1.20 which is 0.83333 seconds for one firing. So we can replace τ with RC and we are going to be solving for R eventually here so we will add e to the negative t over RC to both sides and then subtract V over ε from both sides and then we get this line here and then take the natural logarithm of both sides and the natural logarithm of e to the power of something is just that something and on the right hand side, we can just write ln of 1 minus V over ε. And then we can solve for R by multiplying both sides by R divided by natural logarithm of 1 minus V over ε and then we end up with R equals negative time divided by natural logarithm of 1 minus V over ε times capacitance. So that's negative 0.83333 seconds divided by natural logarithm of 1 minus 0.632 times 25.0 nanofarads and that is 33.3 megaohms is the resistance.