Chapter 21

Chapter thumbnail
Electric circuits in a computer allow large amounts of data to be quickly and accurately analyzed..

Chapter 21 : Circuits and DC Instruments - all with Video Solutions

Problems & Exercises

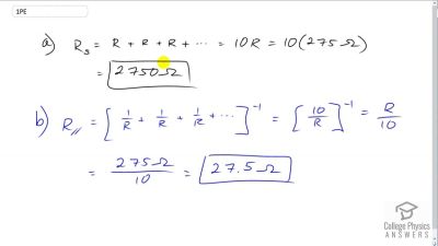
Section 21.1: Resistors in Series and Parallel

Problem 2

(a) What is the resistance of a 1.00×102 Ω1.00\times 10^{2}\textrm{ }\Omega , a 2.50 kΩ2.50\textrm{ k}\Omega , and a 4.00 kΩ4.00\textrm{ k}\Omega resistor connected in series? (b) In parallel?

View solution

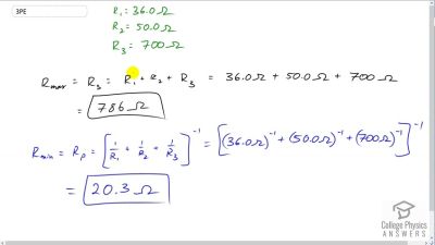
Problem 3

What are the largest and smallest resistances you can obtain by connecting a 36.0Ω36.0\Omega, a 50.0Ω50.0\Omega , and a 700Ω700 \Omega resistor together?

View solution

Problem 4

An 1800-W toaster, a 1400-W electric frying pan, and a 75-W lamp are plugged into the same outlet in a 15-A, 120-V circuit. (The three devices are in parallel when plugged into the same socket.). (a) What current is drawn by each device? (b) Will this combination blow the 15-A fuse?

View solution

Problem 5

Your car’s 30.0-W headlight and 2.40-kW starter are ordinarily connected in parallel in a 12.0-V system. What power would one headlight and the starter consume if connected in series to a 12.0-V battery? (Neglect any other resistance in the circuit and any change in resistance in the two devices.)

View solution

Problem 6

(a) Given a 48.0-V battery and 24.0 Ω24.0\textrm{ }\Omega and 96.0 Ω96.0\textrm{ }\Omega resistors, find the current and power for each when connected in series. (b) Repeat when the resistances are in parallel.

View solution

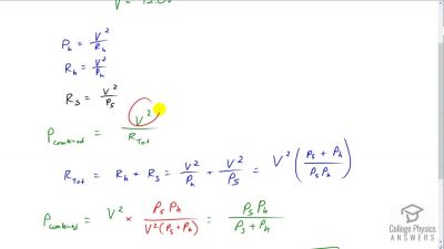
Problem 7

Referring to the example combining series and parallel circuits and Figure 21.6, calculate I3I_3 in the following two different ways: (a) from the known values of II and I2I_2 ; (b) using Ohm’s law for R3R_3 . In both parts explicitly show how you follow the steps in the Problem-Solving Strategies for Series and Parallel Resistors.

From the example: I=2.35 AI = 2.35 \textrm{ A}, and I2=1.61 AI_2 = 1.61 \textrm{ A}.

View solution

Problem 8

Referring to Figure 21.6: (a) Calculate P3P_3 (b) Find the total power supplied by the source and compare it with the sum of the powers dissipated by the resistors.

View solution

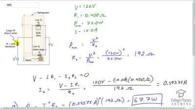
Problem 9

Refer to Figure 21.7 and the discussion of lights dimming when a heavy appliance comes on. (a) Given the voltage source is 120 V, the wire resistance is 0.400Ω0.400 \Omega , and the bulb is nominally 75.0 W, what power will the bulb dissipate if a total of 15.0 A passes through the wires when the motor comes on? Assume negligible change in bulb resistance. (b) What power is consumed by the motor?

View solution

Problem 10

A 240-kV power transmission line carrying 5.00×102 A5.00\times 10^{2}\textrm{ A} is hung from grounded metal towers by ceramic insulators, each having a 1.00×109 Ω1.00\times 10^{9}\textrm{ }\Omega resistance. Figure 21.51. (a) What is the resistance to ground of 100 of these insulators? (b) Calculate the power dissipated by 100 of them. (c) What fraction of the power carried by the line is this? Explicitly show how you follow the steps in the Problem-Solving Strategies for Series and Parallel Resistors.

View solution

Problem 11

Show that if two resistors R1R_1 and R2R_2 are combined and one is much greater than the other ( R1>>R2R_1 >> R_2 ): (a) Their series resistance is very nearly equal to the greater resistance R1R_1. (b) Their parallel resistance is very nearly equal to smaller resistance R2R_2.

View solution

Problem 12

Two resistors, one having a resistance of 145 Ω145\textrm{ }\Omega , are connected in parallel to produce a total resistance of 150 Ω150\textrm{ }\Omega . (a) What is the value of the second resistance? (b) What is unreasonable about this result? (c) Which assumptions are unreasonable or inconsistent?

View solution

Problem 13

Two resistors, one having a resistance of 900 kΩ900 \textrm{ k}\Omega , are connected in series to produce a total resistance of 0.500 MΩ0.500 \textrm{ M}\Omega . (a) What is the value of the second resistance? (b) What is unreasonable about this result? (c) Which assumptions are unreasonable or inconsistent?

View solution

Section 21.2: Electromotive Force: Terminal Voltage

Problem 14

Standard automobile batteries have six lead-acid cells in series, creating a total emf of 12.0 V. What is the emf of an individual lead-acid cell?

View solution

Problem 15

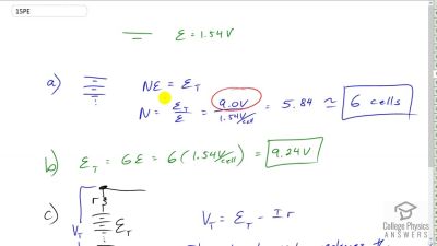
Carbon-zinc dry cells (sometimes referred to as non- alkaline cells) have an emf of 1.54 V, and they are produced as single cells or in various combinations to form other voltages. (a) How many 1.54-V cells are needed to make the common 9-V battery used in many small electronic devices? (b) What is the actual emf of the approximately 9-V battery? (c) Discuss how internal resistance in the series connection of cells will affect the terminal voltage of this approximately 9-V battery.

View solution

Problem 16

What is the output voltage of a 3.0000-V lithium cell in a digital wristwatch that draws 0.300 mA, if the cell’s internal resistance is 2.00 Ω2.00\textrm{ }\Omega?

View solution

Problem 17

(a) What is the terminal voltage of a large 1.54-V carbon- zinc dry cell used in a physics lab to supply 2.00 A to a circuit, if the cell’s internal resistance is 0.100Ω0.100 \Omega ? (b) How much electrical power does the cell produce? (c) What power goes to its load?

View solution

Problem 18

What is the internal resistance of an automobile battery that has an emf of 12.0 V and a terminal voltage of 15.0 V while a current of 8.00 A is charging it?

View solution

Problem 19

(a) Find the terminal voltage of a 12.0-V motorcycle battery having a 0.600Ω0.600 \Omega internal resistance, if it is being charged by a current of 10.0 A. (b) What is the output voltage of the battery charger?

View solution

Problem 20

A car battery with a 12-V emf and an internal resistance of 0.050 Ω0.050\textrm{ }\Omega is being charged with a current of 60 A. Note that in this process the battery is being charged. (a) What is the potential difference across its terminals? (b) At what rate is thermal energy being dissipated in the battery? (c) At what rate is electric energy being converted to chemical energy? (d) What are the answers to (a) and (b) when the battery is used to supply 60 A to the starter motor?

View solution

Problem 21

The hot resistance of a flashlight bulb is 2.30Ω2.30 \Omega , and it is run by a 1.58-V alkaline cell having a 0.100Ω0.100 \Omega internal resistance. (a) What current flows? (b) Calculate the power supplied to the bulb using I2RbulbI^2R_{bulb}. (c) Is this power the same as calculated using V2R\dfrac{V^2}{R}?

View solution

Problem 22

The label on a portable radio recommends the use of rechargeable nickel-cadmium cells (nicads), although they have a 1.25-V emf while alkaline cells have a 1.58-V emf. The radio has a 3.20 Ω3.20\textrm{ }\Omega resistance. (a) Draw a circuit diagram of the radio and its batteries. Now, calculate the power delivered to the radio. (b) When using Nicad cells each having an internal resistance of 0.0400 Ω0.0400\textrm{ }\Omega. (c) When using alkaline cells each having an internal resistance of 0.200 Ω0.200\textrm{ }\Omega. (d) Does this difference seem significant, considering that the radio’s effective resistance is lowered when its volume is turned up?

View solution

Problem 23

An automobile starter motor has an equivalent resistance of 0.0500Ω0.0500 \Omega and is supplied by a 12.0-V battery with a 0.0100Ω0.0100 \Omega internal resistance. (a) What is the current to the motor? (b) What voltage is applied to it? (c) What power is supplied to the motor? (d) Repeat these calculations for when the battery connections are corroded and add 0.0900Ω0.0900 \Omega to the circuit. (Significant problems are caused by even small amounts of unwanted resistance in low-voltage, high-current applications.)

View solution

Problem 24

A child’s electronic toy is supplied by three 1.58-V alkaline cells having internal resistances of 0.0200 Ω0.0200\textrm{ }\Omega in series with a 1.53-V carbon-zinc dry cell having a 0.100 Ω0.100\textrm{ }\Omega internal resistance. The load resistance is 10.0 Ω10.0\textrm{ }\Omega. (a) Draw a circuit diagram of the toy and its batteries. (b) What current flows? (c) How much power is supplied to the load? (d) What is the internal resistance of the dry cell if it goes bad, resulting in only 0.500 W being supplied to the load?

View solution

Problem 25

(a) What is the internal resistance of a voltage source if its terminal voltage drops by 2.00 V when the current supplied increases by 5.00 A? (b) Can the emf of the voltage source be found with the information supplied?

View solution

Problem 26

A person with body resistance between his hands of 10.0 kΩ10.0\textrm{ k}\Omega accidentally grasps the terminals of a 20.0-kV power supply. (Do NOT do this!) (a) Draw a circuit diagram to represent the situation. (b) If the internal resistance of the power supply is 2000 Ω2000\textrm{ }\Omega , what is the current through his body? (c) What is the power dissipated in his body? (d) If the power supply is to be made safe by increasing its internal resistance, what should the internal resistance be for the maximum current in this situation to be 1.00 mA or less? (e) Will this modification compromise the effectiveness of the power supply for driving low-resistance devices? Explain your reasoning.

View solution

Problem 27

Electric fish generate current with biological cells called electroplaques, which are physiological emf devices. The electroplaques in the South American eel are arranged in 140 rows, each row stretching horizontally along the body and each containing 5000 electroplaques. Each electroplaque has an emf of 0.15 V and internal resistance of 0.25Ω0.25\Omega . If the water surrounding the fish has resistance of 800Ω800 \Omega, how much current can the eel produce in water from near its head to near its tail?

View solution

Problem 28

A 12.0-V emf automobile battery has a terminal voltage of 16.0 V when being charged by a current of 10.0 A. (a) What is the battery’s internal resistance? (b) What power is dissipated inside the battery? (c) At what rate (in C/min\textrm{C}^\circ\textrm{/min} ) will its temperature increase if its mass is 20.0 kg and it has a specific heat of 0.300 kcal/kgC0.300\textrm{ kcal/kg}\cdot\textrm{C}^\circ , assuming no heat escapes?

View solution

Problem 29

A 1.58-V alkaline cell with a 0.200Ω0.200 \Omega internal resistance is supplying 8.50 A to a load. (a) What is its terminal voltage? (b) What is the value of the load resistance? (c) What is unreasonable about these results? (d) Which assumptions are unreasonable or inconsistent?

View solution

Problem 30

(a) What is the internal resistance of a 1.54-V dry cell that supplies 1.00 W of power to a 15.0 Ω15.0\textrm{ }\Omega bulb? (b) What is unreasonable about this result? (c) Which assumptions are unreasonable or inconsistent?

View solution

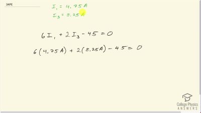
Section 21.3: Kirchhoff's Rules

Problem 33

Verify the second equation in Example 21.5 by substituting the values found for the currents I1I_1 and I2I_2.

The equation is 3I2+186I1=0-3I_2 + 18 - 6I_1 = 0. I1=4.75 AI_1 = 4.75 \textrm{ A}, I2=3.50 AI_2 = -3.50 \textrm{ A}.

View solution

Problem 38

Find the currents flowing in the circuit in Figure 21.52. Explicitly show how you follow the steps in the Problem- Solving Strategies for Series and Parallel Resistors.

View solution

Problem 39

Solve Example 21.5, but use loop abcdefgha instead of loop abcdea. Explicitly show how you follow the steps in the Problem-Solving Strategies for Series and Parallel Resistors.

View solution

Problem 41

Consider the circuit in Figure 21.56, and suppose that the emfs are unknown and the currents are given to be I1=5.00 AI_1 = 5.00 \textrm{ A} , I2=3.0 AI_2 = 3.0 \textrm{ A} , and I3=2.00 AI_3 = -2.00 \textrm{ A}. (a) Could you find the emfs? (b) What is wrong with the assumptions?

View solution

Section 21.4: DC Voltmeters and Ammeters

Problem 42

What is the sensitivity of the galvanometer (that is, what current gives a full-scale deflection) inside a voltmeter that has a 1.00-M Ω resistance on its 30.0-V scale?

View solution

Problem 43

What is the sensitivity of the galvanometer (that is, what current gives a full-scale deflection) inside a voltmeter that has a 25.0 kΩ25.0 \textrm{ k}\Omega resistance on its 100-V scale?

View solution

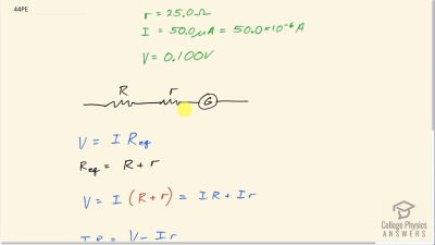
Problem 44

Find the resistance that must be placed in series with a 25.0 Ω25.0\textrm{ }\Omega galvanometer having a 50.0 μA50.0\textrm{ }\mu\textrm{A} sensitivity (the same as the one discussed in the text) to allow it to be used as a voltmeter with a 0.100-V full-scale reading.

View solution

Problem 45

Find the resistance that must be placed in series with a 25.0Ω25.0 \Omega galvanometer having a 50.0μA50.0 \mu \textrm{A} sensitivity (the same as the one discussed in the text) to allow it to be used as a voltmeter with a 3000-V full-scale reading. Include a circuit diagram with your solution.

View solution

Problem 46

Find the resistance that must be placed in parallel with a 25.0 Ω25.0\textrm{ }\Omega galvanometer having a 50.0 μA50.0\textrm{ }\mu\textrm{A} sensitivity (the same as the one discussed in the text) to allow it to be used as an ammeter with a 10.0-A full-scale reading. Include a circuit diagram with your solution.

View solution

Problem 47

Find the resistance that must be placed in parallel with a 25.0Ω25.0 \Omega galvanometer having a 50.0μΩ50.0 \mu \Omega sensitivity (the same as the one discussed in the text) to allow it to be used as an ammeter with a 300-mA full-scale reading.

View solution

Problem 48

Find the resistance that must be placed in series with a 10.0 Ω10.0\textrm{ }\Omega galvanometer having a 100 μA100\textrm{ }\mu\textrm{A} sensitivity to allow it to be used as a voltmeter with: (a) a 300-V full-scale reading, and (b) a 0.300-V full-scale reading.

View solution

Problem 49

Find the resistance that must be placed in parallel with a 10.0Ω10.0 \Omega galvanometer having a 100μA100 \mu \textrm{A} sensitivity to allow it to be used as an ammeter with: (a) a 20.0-A full-scale reading, and (b) a 100-mA full-scale reading.

View solution

Problem 50

Suppose you measure the terminal voltage of a 1.585-V alkaline cell having an internal resistance of 0.100placeholderΩ0.100\textrm{placeholder}\Omega by placing a 1.00 kΩ1.00\textrm{ k}\Omega voltmeter across its terminals. (See Figure 21.54.) (a) What current flows? (b) Find the terminal voltage. (c) To see how close the measured terminal voltage is to the emf, calculate their ratio.

View solution

Problem 51

Suppose you measure the terminal voltage of a 3.200-V lithium cell having an internal resistance of 5.00Ω5.00 \Omega by placing a 1.00 kΩ1.00 \textrm{ k}\Omega voltmeter across its terminals. (a) What current flows? (b) Find the terminal voltage. (c) To see how close the measured terminal voltage is to the emf, calculate their ratio.

View solution

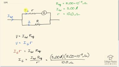
Problem 52

A certain ammeter has a resistance of 5.00×105 Ω5.00\times 10^{-5}\textrm{ }\Omega on its 3.00-A scale and contains a 10.0 Ω10.0\textrm{ }\Omega galvanometer. What is the sensitivity of the galvanometer?

View solution

Problem 53

A 1.00 MΩ1.00 \textrm{ M}\Omega voltmeter is placed in parallel with a 75.0 kΩ75.0 \textrm{ k}\Omega resistor in a circuit. (a) Draw a circuit diagram of the connection. (b) What is the resistance of the combination? (c) If the voltage across the combination is kept the same as it was across the 75.0 kΩ75.0 \textrm{ k}\Omega resistor alone, what is the percent increase in current? (d) If the current through the combination is kept the same as it was through the 75.0 kΩ75.0 \textrm{ k}\Omega resistor alone, what is the percentage decrease in voltage? (e) Are the changes found in parts (c) and (d) significant? Discuss.

View solution

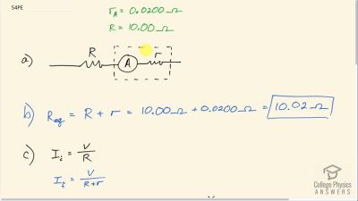
Problem 54

A 0.0200 Ω0.0200\textrm{ }\Omega ammeter is placed in series with a 10.00 Ω10.00\textrm{ }\Omega resistor in a circuit. (a) Draw a circuit diagram of the connection. (b) Calculate the resistance of the combination. (c) If the voltage is kept the same across the combination as it was through the 10.00 Ω10.00\textrm{ }\Omega resistor alone, what is the percent decrease in current? (d) If the current is kept the same through the combination as it was through the 10.00 Ω10.00\textrm{ }\Omega resistor alone, what is the percent increase in voltage? (e) Are the changes found in parts (c) and (d) significant? Discuss.

View solution

Problem 55

Suppose you have a 40.0Ω40.0 \Omega galvanometer with a 25.0μA25.0 \mu \textrm{A} sensitivity. (a) What resistance would you put in series with it to allow it to be used as a voltmeter that has a full-scale deflection for 0.500 mV? (b) What is unreasonable about this result? (c) Which assumptions are responsible?

View solution

Problem 56

(a) What resistance would you put in parallel with a 40.0 Ω40.0\textrm{ }\Omega galvanometer having a 25.0 μA25.0\textrm{ }\mu\textrm{A} sensitivity to allow it to be used as an ammeter that has a full-scale deflection for 10.0 μA10.0\textrm{ }\mu\textrm{A} ? (b) What is unreasonable about this result? (c) Which assumptions are responsible?

View solution

Section 21.5: Null Measurements

Problem 57

What is the emfsemf_s of a cell being measured in a potentiometer, if the standard cell’s emf is 12.0 V and the potentiometer balances for Rx=5.000ΩR_x = 5.000 \Omega and Rs=2.500ΩR_s = 2.500 \Omega?

View solution

Problem 58

Calculate the emfx\textrm{emf}_\textrm{x} of a dry cell for which a potentiometer is balanced when Rx=1.200 ΩR_\textrm{x} = 1.200\textrm{ }\Omega , while an alkaline standard cell with an emf of 1.600 V requires Rs=1.247 ΩR_\textrm{s} = 1.247\textrm{ }\Omega to balance the potentiometer.

View solution

Problem 59

When an unknown resistance RxR_x is placed in a Wheatstone bridge, it is possible to balance the bridge by adjusting R3R_3 to be 2500Ω2500 \Omega. What is RxR_x if R2R1=0.625\dfrac{R_2}{R_1} = 0.625?

View solution

Problem 60

To what value must you adjust R3R_3 to balance a Wheatstone bridge, if the unknown resistance RxR_\textrm{x} is 100 Ω100\textrm{ }\Omega, R1R_1 is 50.0 Ω50.0\textrm{ }\Omega, and R2R_2 is 175 Ω175\textrm{ }\Omega

View solution

Problem 61

(a) What is the unknown emfxemf_x in a potentiometer that balances when RxR_x is 10.0Ω10.0 \Omega, and balances when RsR_s is 15.0Ω15.0 \Omega for a standard 3.000-V emf? (b) The same emfxemf_x is placed in the same potentiometer, which now balances when RsR_s is 15.0Ω15.0 \Omega for a standard emf of 3.100 V. At what resistance RxR_x will the potentiometer balance?

View solution

Problem 62

Suppose you want to measure resistances in the range from 10.0 Ω10.0\textrm{ } \Omega to 10.0 kΩ10.0\textrm{ k}\Omega using a Wheatstone bridge that has R2R1=2.000\dfrac{R_2}{R_1} = 2.000. Over what range should R3R_3 be adjustable?

View solution

Section 21.6: DC Circuits Containing Resistors and Capacitors

Problem 63

The timing device in an automobile’s intermittent wiper system is based on an RCRC time constant and utilizes a 0.500μF0.500 \mu \textrm{F} capacitor and a variable resistor. Over what range must RR be made to vary to achieve time constants from 2.002.00 to 15.0 s15.0 \textrm{ s}?

View solution

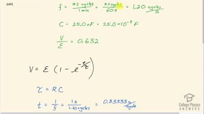
Problem 64

A heart pacemaker fires 72 times a minute, each time a 25.0-nF capacitor is charged (by a battery in series with a resistor) to 0.632 of its full voltage. What is the value of the resistance?

View solution

Problem 65

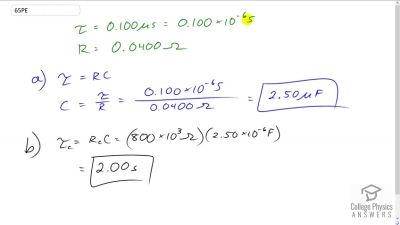
The duration of a photographic flash is related to an RCRC time constant, which is 0.100μs0.100 \mu \textrm{s} for a certain camera. (a) If the resistance of the flash lamp is 0.0400Ω0.0400 \Omega during discharge, what is the size of the capacitor supplying its energy? (b) What is the time constant for charging the capacitor, if the charging resistance is 800 kΩ800 \textrm{ k}\Omega?

View solution

Problem 66

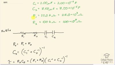
A 2.00 μF2.00\textrm{ }\mu\textrm{F} and a 7.50 μF7.50\textrm{ }\mu\textrm{F} capacitor can be connected in series or parallel, as can a 25.0 kΩ25.0\textrm{ k}\Omega and a 100 kΩ100\textrm{ k}\Omega resistor. Calculate the four RC time constants possible from connecting the resulting capacitance and resistance in series.

View solution

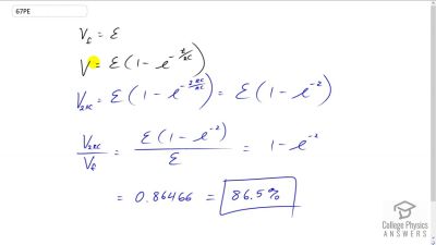
Problem 67

After two time constants, what percentage of the final voltage, emf, is on an initially uncharged capacitor CC , charged through a resistance RR?

View solution

Problem 68

A 500 Ω500\textrm{ }\Omega resistor, an uncharged 1.50 μF1.50\textrm{ }\mu\textrm{F} capacitor, and a 6.16-V emf are connected in series. (a) What is the initial current? (b) What is the RC time constant? (c) What is the current after one time constant? (d) What is the voltage on the capacitor after one time constant?

View solution

Problem 69

A heart defibrillator being used on a patient has an RCRC time constant of 10.0 ms due to the resistance of the patient and the capacitance of the defibrillator. (a) If the defibrillator has an 8.00μF8.00 \mu \textrm{F} capacitance, what is the resistance of the path through the patient? (You may neglect the capacitance of the patient and the resistance of the defibrillator.) (b) If the initial voltage is 12.0 kV, how long does it take to decline to 6.00×102 V6.00 \times 10^2 \textrm{ V}?

View solution

Problem 70

An ECG monitor must have an RC time constant less than 1.00×102 μs1.00\times 10^{2}\textrm{ }\mu\textrm{s} to be able to measure variations in voltage over small time intervals. (a) If the resistance of the circuit (due mostly to that of the patient’s chest) is 1.00 kΩ1.00 \textrm{ k}\Omega , what is the maximum capacitance of the circuit? (b) Would it be difficult in practice to limit the capacitance to less than the value found in (a)?

View solution

Problem 71

Figure 21.58 shows how a bleeder resistor is used to discharge a capacitor after an electronic device is shut off, allowing a person to work on the electronics with less risk of shock. (a) What is the time constant? (b) How long will it take to reduce the voltage on the capacitor to 0.250% (5% of 5%) of its full value once discharge begins? (c) If the capacitor is charged to a voltage VoV_o through a 100Ω100 \Omega resistance, calculate the time it takes to rise to 0.865Vo0.865V_o (This is about two time constants.)

View solution

Problem 72

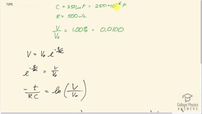
Using the exact exponential treatment, find how much time is required to discharge a 250 μF250\textrm{ }\mu\textrm{F} capacitor through a 500 Ω500\textrm{ }\Omega resistor down to 1.00% of its original voltage.

View solution

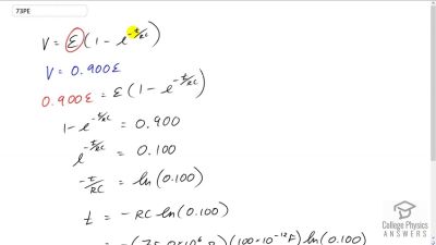
Problem 73

Using the exact exponential treatment, find how much time is required to charge an initially uncharged 100-pF capacitor through a 75.0 MΩ75.0 \textrm{ M}\Omega resistor to 90.0% of its final voltage.

View solution

Problem 74

If you wish to take a picture of a bullet traveling at 500 m/s, then a very brief flash of light produced by an RC discharge through a flash tube can limit blurring. Assuming 1.00 mm of motion during one RC constant is acceptable, and given that the flash is driven by a 600 μF600\textrm{ }\mu\textrm{F} capacitor, what is the resistance in the flash tube?

View solution

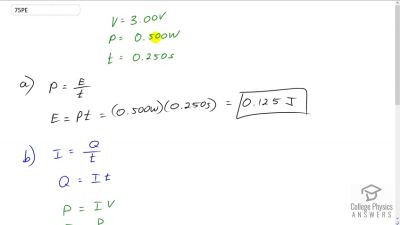
Problem 75

A flashing lamp in a Christmas earring is based on an RCRC discharge of a capacitor through its resistance. The effective duration of the flash is 0.250 s, during which it produces an average 0.500 W from an average 3.00 V. (a) What energy does it dissipate? (b) How much charge moves through the lamp? (c) Find the capacitance. (d) What is the resistance of the lamp?

View solution

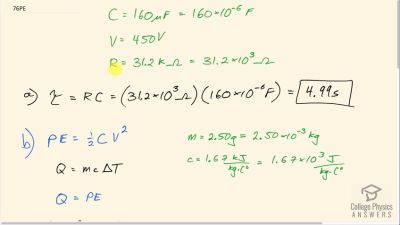
Problem 76

A 160 μF160\textrm{ }\mu\textrm{F} capacitor charged to 450 V is discharged through a 31.2 kΩ31.2\textrm{ k}\Omega resistor. (a) Find the time constant. (b) Calculate the temperature increase of the resistor, given that its mass is 2.50 g and its specific heat is 1.67 kJ/kgC1.67 \textrm{ kJ/kg}\cdot\textrm{C}^\circ, noting that most of the thermal energy is retained in the short time of the discharge. (c) Calculate the new resistance, assuming it is pure carbon. (d) Does this change in resistance seem significant?

View solution

Problem 77

(a) Calculate the capacitance needed to get an RCRC time constant of 1.00×103 s1.00 \times 10^3 \textrm{ s} with a 0.100Ω0.100 \Omega resistor. (b) What is unreasonable about this result? (c) Which assumptions are responsible?

View solution

Test Prep for AP® Courses

Section 21.1: Resistors in Series and Parallel

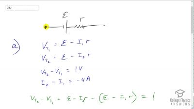
Problem 1 (AP)

Figure 21.59 The figure above shows a circuit containing two batteries and three identical resistors with resistance R. Which of the following changes to the circuit will result in an increase in the current at point P? Select two answers. a. Reversing the connections to the 14 V battery. b. Removing the 2 V battery and connecting the wires to close the left loop. c. Rearranging the resistors so all three are in series. d. Removing the branch containing resistor Z.

View solution

Problem 2 (AP)

In a circuit, a parallel combination of six 1.6-kΩ resistors is connected in series with a parallel combination of four 2.4-kΩ resistors. If the source voltage is 24 V, what will be the percentage of total current in one of the 2.4-kΩ resistors?
  1. 10%
  2. 12%
  3. 20%
  4. 25%

View solution

Problem 3 (AP)

In a circuit, a parallel combination of six 1.6-kΩ resistors is connected in series with a parallel combination of four 2.4-kΩ resistors. The source voltage is 24 V. The circuit is modified by removing some of the 1.6 kΩ resistors, and the total current becomes 24 mA. How many resistors were removed?
  1. 1
  2. 2
  3. 3
  4. 4

View solution

Problem 4 (AP)

Two resistors, with resistances R and 2R are connected to a voltage source as shown in this figure. If the power dissipated in R is 10 W, what is the power dissipated in 2R?
  1. 1 W
  2. 2.5 W
  3. 5 W
  4. 10 W

View solution

Problem 5 (AP)

In a circuit, a parallel combination of two 20-Ω and one 10-Ω resistors is connected in series with a 4-Ω resistor. The source voltage is 36 V.
  1. Find the resistor(s) with the maximum current.
  2. Find the resistor(s) with the maximum voltage drop.
  3. Find the power dissipated in each resistor and hence the total power dissipated in all the resistors. Also find the power output of the source. Are they equal or not? Justify your answer.
  4. Will the answers for questions (a) and (b) differ if a 3 Ω resistor is added in series to the 4 Ω resistor? If yes, repeat the question(s) for the new resistor combination.
  5. If the values of all the resistors and the source voltage are doubled, what will be the effect on the current?

View solution

Section 21.2: Electromotive Force: Terminal Voltage

Problem 6 (AP)

Suppose there are two voltage sources – Sources A and B – with the same emfs but different internal resistances, i.e., the internal resistance of Source A is lower than Source B. If they both supply the same current in their circuits, which of the following statements is true?
  1. External resistance in Source A’s circuit is more than Source B’s circuit.
  2. External resistance in Source A’s circuit is less than Source B’s circuit.
  3. External resistance in Source A’s circuit is the same as Source B’s circuit.
  4. The relationship between external resistances in the two circuits can’t be determined.

View solution

Problem 7 (AP)

Calculate the internal resistance of a voltage source if the terminal voltage of the source increases by 1 V when the current supplied decreases by 4 A? Suppose this source is connected in series (in the same direction) to another source with a different voltage but same internal resistance. What will be the total internal resistance? How will the total internal resistance change if the sources are connected in the opposite direction?

View solution

Section 21.3: Kirchhoff's Rules

Problem 8 (AP)

An experiment was set up with the circuit diagram shown in Figure 21.61. Assume R1=10 ΩR_1 = 10 \textrm{ }\Omega, R2=R3=5 ΩR_2 = R_3 = 5 \textrm{ }\Omega, r=0 Ωr = 0 \textrm{ }\Omega, and E=6 VE = 6\textrm{ V}.
  1. One of the steps to examine the set-up is to test points with the same potential. Which of the following points can be tested?
    1. Points b, c and d.
    2. Points d, e and f.
    3. Points f, h and j.
    4. Points a, h and i.
  2. At which three points should the currents be measured so that Kirchhoff’s junction rule can be directly confirmed?
    1. Points b, c and d.
    2. Points d, e and f.
    3. Points f, h and j.
    4. Points a, h and i.
  3. If the current in the branch with the voltage source is upward and currents in the other two branches are downward, i.e. Ia = Ii + Ic, identify which of the following can be true? Select two answers.
    1. li = Ij - If
    2. Ie = Ih - Ii
    3. Ic = Ij - Ia
    4. Id = Ih - Ij
  4. The measurements reveal that the current through R1 is 0.5 A and R3 is 0.6 A. Based on your knowledge of Kirchoff’s laws, confirm which of the following statements are true.
    1. The measured current for R1 is correct but for R3 is incorrect.
    2. The measured current for R3 is correct but for R1 is incorrect.
    3. Both the measured currents are correct.
    4. Both the measured currents are incorrect.
  5. The graph shown in the following Figure 21.62 is the energy dissipated at R1 as a function of time. Which of the following among Figures 21.63 and Figure 21.65 shows the graph for energy dissipated at R2 as a function of time?

View solution

Problem 9 (AP)

For this question, consider the circuit shown in the following figure.
  1. Assuming that none of the three currents (I1,I2,I3I_1, I_2, I_3) are equal to zero, which of the following statements is false?
    1. I3=I1+I2I_3 = I_1 + I_2
    2. I2=I3I1I_2 = I_3 - I_1
    3. The current through R3R_3 is equal to the current through R5R_5
    4. The current through R1R_1 is equal to the current through R5R_5
  2. Which of the following statements is true?
    1. ξ1+ξ2+I1R1I2R2+I1r1I2r2+I1R5=0\xi_1 + \xi_2 + I_1R_1 - I_2R_2 + I_1r_1 - I_2r_2 + I_1R_5 = 0
    2. ξ1+ξ2+I1R1I2R2+I1r1I2r2I1R5=0-\xi_1 + \xi_2 + I_1R_1 - I_2R_2 + I_1r_1 - I_2r_2 - I_1R_5 = 0
    3. ξ1ξ2I1R1+I2R2I1r1+I2r2I1R5=0\xi_1 - \xi_2 - I_1R_1 + I_2R_2 - I_1r_1 + I_2r_2 - I_1R_5 = 0
    4. ξ1+ξ2I1R1+I2R2I1r1+I2r2+I1R5=0\xi_1 + \xi_2 - I_1R_1 + I_2R_2 - I_1r_1 + I_2r_2 + I_1R_5 = 0
  3. If I1=5 AI_1 = 5 \textrm{ A} and I3=2 AI_3 = -2 \textrm{ A}, which of the following statements is false?
    1. The current through R1R_1 will flow from a to b and well be equal to 5 A.
    2. The current through R3R_3 will flow from a to j and will be equal to 2 A.
    3. The current through R5R_5 will flow from d to e and will be equal to 5 A.
    4. None of the above.
  4. If I1=5 AI_1 = 5 \textrm{ A} and I3=2 AI_3 = -2 \textrm{ A}, I2I_2 will be equal to
    1. 3 A
    2. -3 A
    3. 7 A
    4. -7 A

View solution

Problem 10 (AP)

Figure 21.68 In an experiment this circuit is set up. Three ammeters are used to record the currents in the three vertical branches (with R1R_1, R2R_2, and EE). The readings of the ammeters in the resistor branches (i.e. currents in R1R_1 and R2R_2) are 2 A and 3 A respectively.
  1. Find the equation obtained by applying Kirchhoff’s loop rule in the loop involving R1R_1 and R2R_2.
  2. What will be the reading of the third ammeter (i.e. the branch with E)? If E were replaced by 3E, how would this reading change?
  3. If the original circuit is modified by adding another voltage source (as shown in the following circuit in Figure 21.69), find the readings of the three ammeters.

View solution

Problem 11 (AP)

Figure 21.70 In this circuit, assume the currents through R1R_1, R2R_2 and R3R_3 are I1I_1, I2I_2 and I3I_3 respectively and all are flowing in the clockwise direction.
  1. Find the equation obtained by applying Kirchhoff’s junction rule at point A.
  2. Find the equations obtained by applying Kirchhoff’s loop rule in the upper and lower loops.
  3. Assume R1=R2=6ΩR_1 = R_2 = 6 \Omega, R3=12ΩR_3 = 12 \Omega, r1=r2=0Ωr_1 = r_2 = 0 \Omega, ξ1=6 V\xi_1 = 6 \textrm{ V} and ξ2=4 V\xi_2 = 4 \textrm{ V}. Calculate I1I_1, I2I_2 and I3I_3.
  4. For the situation in which ξ2\xi_2 is replaced by a closed switch, repeat parts (a) and (b). Using the values for R1R_1, R2R_2, R3R_3, r1r_1 and ξ1\xi_1 from part (c) calculate the currents through the three resistors.
  5. For the circuit in part (d) calculate the output power of the voltage source and across all the resistors. Examine if energy is conserved in the circuit.
  6. A student implemented the circuit of part (d) in the lab and measured the current though one of the resistors as 0.19 A. According to the results calculated in part (d) identify the resistor(s). Justify any difference in measured and calculated value.

View solution

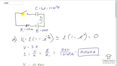
Section 21.6: DC Circuits Containing Resistors and Capacitors

Problem 12 (AP)

A battery is connected to a resistor and an uncharged capacitor. The switch for the circuit is closed at t = 0 s.
  1. While the capacitor is being charged, which of the following is true?
    1. Current through and voltage across the resistor increase.
    2. Current through and voltage across the resistor decrease.
    3. Current through and voltage across the resistor first increase and then decrease.
    4. Current through and voltage across the resistor first decrease and then increase.
  2. When the capacitor is fully charged, which of the following is NOT zero?
    1. Current in the resistor.
    2. Voltage across the resistor.
    3. Current in the capacitor.
    4. None of the above.

View solution

Problem 13 (AP)

An uncharged capacitor CC is connected in series (with a switch) to a resistor R1R_1 and a voltage source E\Epsilon. Assume E=24 V\Epsilon = 24 \textrm{ V}, R1=1.2 kΩR_1 = 1.2 \textrm{ k}\Omega and C=1 mFC = 1 \textrm{ mF}.
  1. What will be the current through the circuit as the switch is closed? Draw a circuit diagram and show the direction of current after the switch is closed. How long will it take for the capacitor to be 99% charged?
  2. After full charging, this capacitor is connected in series to another resistor, R2=1 kΩR_2 = 1 \textrm{ k}\Omega. What will be the current in the circuit as soon as it’s connected? Draw a circuit diagram and show the direction of current. How long will it take for the capacitor voltage to reach 3.24 V?

View solution